题目内容

一水槽水深为D,在水槽底部放一薄硬币,水的折射率为n,在硬币的正上方与水面相距L的地方测得硬币的视角为θ,如图所示.设θ很小,sinθ≈tanθθ,求:

(1)硬币的直径;

(2)如将水倒出一半使水深度变为D/2,再在原位置观测时,硬币的视角等于多少?

答案:
解析:

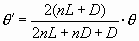
  解(1)如下图,由于很小,所以有

由折射定律知:,即有故硬币直径

  (2)同样的方法可求出视角


练习册系列答案
相关题目
【选做题】A.(1)若一气泡从湖底上升到湖面的过程中温度保持不变,则在此过程中关于气泡中的气体,
下列说法正确的是
 
.(填写选项前的字母)
(A)气体分子间的作用力增大          (B)气体分子的平均速率增大
(C)气体分子的平均动能减小          (D)气体组成的系统地熵增加
(2)若将气泡内的气体视为理想气体,气泡从湖底上升到湖面的过程中,对外界做了0.6J的功,则此过程中的气泡
 
(填“吸收”或“放出”)的热量是
 
J.气泡到达湖面后,温度上升的过程中,又对外界做了0.1J的功,同时吸收了0.3J的热量,则此过程中,气泡内气体内能增加了
 
J
(3)已知气泡内气体的密度为1.29kg/m3,平均摩尔质量为0.29kg/mol.阿伏加德罗常数NA=6.02×1023mol-1,取气体分子的平均直径为2×10-10m,若气泡内的气体能完全变为液体,请估算液体体积与原来气体体积的比值.(结果保留以为有效数字)
B.(1)如图甲所示,强强乘电梯速度为0.9c(c为光速)的宇宙飞船追赶正前方的壮壮,壮壮的飞行速度为0.5c,强强向壮壮发出一束光进行联络,则壮壮观测到该光束的传播速度为
 
.(填写选项前的字母)
(A)0.4c           (B)0.5c
(C)0.9c             (D)1.0c
(2)在t=0时刻,质点A开始做简谐运动,其振动图象如图乙所示.质点A振动的周期是
 
s;t=8s时,质点A的运动沿y轴的
 
方向(填“正”或“负”);质点B在波动的传播方向上与A相距16m,已知波的传播速度为2m/s,在t=9s时,质点B偏离平衡位置的位移是
 
cm
(3)图丙是北京奥运会期间安置在游泳池底部的照相机拍摄的一张照片,照相机的镜头竖直向上.照片中,水利方运动馆的景象呈限在半径r=11cm的圆型范围内,水面上的运动员手到脚的长度l=10cm,若已知水的折射率为n=
43
,请根据运动员的实际身高估算该游泳池的水深h,(结果保留两位有效数字)
精英家教网
C.在β衰变中常伴有一种称为“中微子”的粒子放出.中微子的性质十分特别,因此在实验中很难探测.1953年,莱尼斯和柯文建造了一个由大水槽和探测器组成的实验系统,利用中微子与水中11H的核反应,间接地证实了中微子的存在.
(1)中微子与水中的11H发生核反应,产生中子(01n)和正电子(+10e),即中微子+11H→01n++10e可以判定,中微子的质量数和电荷数分别是
 
.(填写选项前的字母)
(A)0和0             (B)0和1        (C)1和 0       (D)1和1
(2)上述核反应产生的正电子与水中的电子相遇,与电子形成几乎静止的整体后,可以转变为两个光子(γ),即+10e+-10e→2γ
已知正电子和电子的质量都为9.1×10-31㎏,反应中产生的每个光子的能量约为
 
J.正电子与电子相遇不可能只转变为一个光子,原因是
 

(3)试通过分析比较,具有相同动能的中子和电子的物质波波长的大小.
【选做题】本题包括A、B、C三小题,请选定其中两题,若三题都做,则按A、B两题评分.

A.(选修模块3-3)

(1)若一气泡从湖底上升到湖面的过程中温度保持不变,则在此过程中关于气泡中的气体,下列说法中正确的是____________.(填写选项前的字母)

A.气体分子间的作用力增大                      B.气体分子的平均速率增大

C.气体分子的平均动能减小                      D.气体组成的系统的熵增加

(2)若将气泡内的气体视为理想气体,气泡从湖底上升到湖面的过程中,对外界做了0.6 J的功,则此过程中气泡____________(填“吸收”或“放出”)的热量是____________J.气泡到达湖面后,温度上升的过程中,又对外界做了0.1 J的功,同时吸收了0.3 J的热量,则此过程中,气泡内气体内能增加了____________J.

(3)已知气泡内气体的密度为1.29 kg/m3,平均摩尔质量为0.029 kg/mol.阿伏加德罗常数NA=6.02×1023mol-1,取气体分子的平均直径为2×10-10m.若气泡内的气体能完全变为液体,请估算液体体积与原来气体体积的比值.(结果保留一位有效数字)

B.(选修模块3-4)

(1)如图甲所示,强强乘坐速度为0.9c(c为光速)的宇宙飞船追赶正前方的壮壮,壮壮的飞行速度为0.5c.强强向壮壮发出一束光进行联络,则壮壮观测到该光束的传播速度为___________.(填写选项前的字母)

A.0.4c             B.0.5c             C.0.9c             D.1.0c

(2)在t=0时刻,质点A开始做简谐运动,其振动图象如图乙所示.质点A振动的周期是_________s;t=8 s时,质点A的运动沿y轴的_________方向(填“正”或“负”);质点B在波的传播方向上与A相距16 m.已知波的传播速度为2 m/s,在t=9 s时,质点B偏离平衡位置的位移是_________cm.

(3)图丙是北京奥运会期间安置在游泳池底部的照相机拍摄的一张照片,相机的镜头竖直向上.照片中,水立方运动馆的景象呈现在半径r=11 cm的圆形范围内,水面上的运动员手到脚的长度l=10 cm.若已知水的折射率,请根据运动员的实际身高估算该游泳池的水深h.(结果保留两位有效数字)

C.(选修模块3-5)

    在β衰变中常伴有一种称为“中微子”的粒子放出,中微子的性质十分特别,因此在实验中很难探测.1953年,莱尼斯和柯文建造了一个由大水槽和探测器组成的实验系统,利用中微子与水中的核反应,间接地证实了中微子的存在.

(1)中微子与水中的发生核反应,产生中子()和正电子(),即

中微子+

可以判定,中微子的质量数和电荷数分别是___________.(填写选项前的字母)

A.0和0                B.0和1                C.1和0                D.1和1

(2)上述核反应产生的正电子与水中的电子相遇,与电子形成几乎静止的整体后,可以转变为两个光子(γ),即

→2γ

已知正电子和电子的质量都为9.1×10-31kg,反应中产生的每个光子的能量约为________J.正电子与电子相遇不可能只转变为一个光子,原因是________________________.

(3)试通过分析比较,具有相同动能的中子和电子的物质波波长的大小.

【选做题】A.(1)若一气泡从湖底上升到湖面的过程中温度保持不变,则在此过程中关于气泡中的气体,
下列说法正确的是______.(填写选项前的字母)
(A)气体分子间的作用力增大          (B)气体分子的平均速率增大
(C)气体分子的平均动能减小          (D)气体组成的系统地熵增加
(2)若将气泡内的气体视为理想气体,气泡从湖底上升到湖面的过程中,对外界做了0.6J的功,则此过程中的气泡______(填“吸收”或“放出”)的热量是______J.气泡到达湖面后,温度上升的过程中,又对外界做了0.1J的功,同时吸收了0.3J的热量,则此过程中,气泡内气体内能增加了______J
(3)已知气泡内气体的密度为1.29kg/m3,平均摩尔质量为0.29kg/mol.阿伏加德罗常数NA=6.02×1023mol-1,取气体分子的平均直径为2×10-10m,若气泡内的气体能完全变为液体,请估算液体体积与原来气体体积的比值.(结果保留以为有效数字)
B.(1)如图甲所示,强强乘电梯速度为0.9c(c为光速)的宇宙飞船追赶正前方的壮壮,壮壮的飞行速度为0.5c,强强向壮壮发出一束光进行联络,则壮壮观测到该光束的传播速度为______.(填写选项前的字母)
(A)0.4c           (B)0.5c
(C)0.9c             (D)1.0c
(2)在t=0时刻,质点A开始做简谐运动,其振动图象如图乙所示.质点A振动的周期是______s;t=8s时,质点A的运动沿y轴的______方向(填“正”或“负”);质点B在波动的传播方向上与A相距16m,已知波的传播速度为2m/s,在t=9s时,质点B偏离平衡位置的位移是______cm
(3)图丙是北京奥运会期间安置在游泳池底部的照相机拍摄的一张照片,照相机的镜头竖直向上.照片中,水利方运动馆的景象呈限在半径r=11cm的圆型范围内,水面上的运动员手到脚的长度l=10cm,若已知水的折射率为,请根据运动员的实际身高估算该游泳池的水深h,(结果保留两位有效数字)

C.在β衰变中常伴有一种称为“中微子”的例子放出.中微子的性质十分特别,因此在实验中很难探测.1953年,莱尼斯和柯文建造了一个由大水槽和探测器组成的实验系统,利用中微子与水中11H的核反应,间接地证实了中微子的存在.
(1)中微子与水中的11H发生核反应,产生中子(1n)和正电子(+1e),即中微子+11H→1n++1e可以判定,中微子的质量数和电荷数分别是______.(填写选项前的字母)
(A)0和0             (B)0和1        (C)1和 0       (D)1和1
(2)上述核反应产生的正电子与水中的电子相遇,与电子形成几乎静止的整体后,可以转变为两个光子(γ),即+1e+-1e→2γ
已知正电子和电子的质量都为9.1×10-31㎏,反应中产生的每个光子的能量约为______J.正电子与电子相遇不可能只转变为一个光子,原因是______.
(3)试通过分析比较,具有相同动能的中子和电子的物质波波长的大小.

违法和不良信息举报电话:027-86699610 举报邮箱:58377363@163.com

精英家教网