题目内容

甲乙两车沿平直公路通过同样的位移,甲车在前半段位移上以的速度运动,后半段位移上以的速度运动;乙车在前半段时间内以的速度运动,在后半段时间内以的速度运动.则甲、乙两车在整个位移中的平均速度大小的关系是

[  ]

A.

B.

C.

D.因不知位移和时间,无法比较

答案:C
解析:

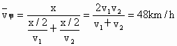
设位移为x,则

设运动的总时间为t,则,故本题选C


练习册系列答案
相关题目

违法和不良信息举报电话:027-86699610 举报邮箱:58377363@163.com

精英家教网