题目内容

如图所示,电源两极间的电压恒定,电压表和可变电阻器R串联接成通路,如果可变电阻器R的值减为原来的时,电压表的读数由U0增加到2U0,则下列说法正确的是(    )

A.流过可变电阻器R的电流增大为原来的2倍 

B.可变电阻器R消耗的电功率增加为原来的4倍

C.可变电阻器两端的电压减小为原来的

D.若可变电阻器R的阻值减小到零,那么电压表的示数为4U0

 

【答案】

ACD

【解析】

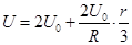
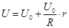
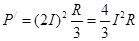
试题分析:由于电压表的读数由U0增加到2U0,则通过电压表的电流增大为原来的2倍,所以流过可变电阻器R的电流也增大为原来的2倍;可变电阻器R消耗的电功率,所以电功率增加为原来的4/3倍; 可变电阻器两端的电压,所以减小为原来的;设电源电压为U,根据欧姆定律可列得:,联立解得r=3R, U=4U0,所以若可变电阻器R的阻值减小到零,那么电压表的示数为4U0。选项ACD正确。

考点:串联电路的特点;欧姆定律。

 

练习册系列答案
相关题目

违法和不良信息举报电话:027-86699610 举报邮箱:58377363@163.com

精英家教网