题目内容
已知月球绕地球做匀速圆周运动的周期为T,月球到地球的距离为R,万有引力常量为G,试求地球的质量M= .
【答案】分析:研究卫星绕行星做匀速圆周运动,根据万有引力提供向心力,列出等式求出中心体的质量.
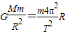
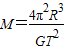
解答:解:设行星的质量为M.
由行星对卫星的万有引力提供向心力得
解之得
故答案为:
点评:本题考查了万有引力在天体中的应用,解题的关键在于找出向心力的来源,并能列出等式解题.
解答:解:设行星的质量为M.
由行星对卫星的万有引力提供向心力得
解之得
故答案为:
点评:本题考查了万有引力在天体中的应用,解题的关键在于找出向心力的来源,并能列出等式解题.
练习册系列答案
相关题目