ÌâÄ¿ÄÚÈÝ
Ò»Á¾¿¨³µÎªÁ˳¬³µ£¬ÒÔ90km/hµÄËÙ¶ÈÊ»Èë×ó²àÄæÐеÀʱ£¬ÃÍÈ»·¢ÏÖǰ·½80m´¦Ò»Á¾Æû³µÕýÓÃæÊ»À´£®¼Ù¶¨¸ÃÆû³µÒÔ54km/hµÄËÙ¶ÈÐÐÊ»£¬Í¬Ê±Ò²·¢ÏÖÁË¿¨³µ³¬³µ£®ÉèÁ½Ë¾»úµÄ·´Ó¦Ê±¼ä¶¼ÊÇ0.70s£¬ËûÃÇɲ³µµÄ¼ÓËÙ¶ÈÖµ¶¼ÊÇ7.5m/s2£¬ÈôÁ½³µ¾ùÒÔÕâÒ»¼ÓËÙ¶Èɲ³µ¶ø²»²ÉÈ¡ÆäËü´ëÊ©£®ÊÔÎÊËüÃÇÊÇ·ñ»áÏàײ£¿Èç¹û»áÏàײ£¬Ïàײʱ¿¨³µµÄËٶȶà´ó£¿
¡¾´ð°¸¡¿·ÖÎö£ºÁ½Ë¾»úÔÚ·´Ó¦Ê±¼äÄÚ¶¼×öÔÈËÙÖ±ÏßÔ˶¯£¬È»ºó×öÔȼõËÙÖ±ÏßÔ˶¯£¬×¥×¡Á½³µµÄÎ»ÒÆÖ®ºÍСÓÚ80m£¬Ôò²»»áÏàײ£¬ÈôÊÇ´óÓÚ80m£¬Ôò·¢ÉúÅöײ£¬Èô·¢ÉúÅöײÔò¸ù¾ÝËûÃÇÖ®¼äµÄÎ»ÒÆ¹ØÏµ¿ÉÒÔÇó³öÏàײʱ¿¨³µµÄËÙ¶ÈÊǶà´ó£¬×¢ÒâÅжÏÔÚÆû³µÍ£Ö¹Ö®Ç°Á½³µÊÇ·ñ·¢ÉúÏàײ£®
½â´ð£º½â£ºÉ迨³µÐÐÊ»µÄËÙ¶ÈΪv1£¬Æû³µÐÐÊ»µÄËÙ¶ÈΪv2£¬Ôòv1=90km/h=25m/s£¬v2=54 km/h=15 m/s£¬ÔÚ·´Ó¦Ê±¼ä¡÷tÄÚÁ½³µÐÐÊ»µÄ¾àÀë·Ö±ðΪs1¡¢s2£¬Ôò
s1=v1¡÷t=17.5m ¢Ù
s2=v2¡÷t=10.5m ¢Ú
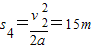
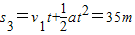
¿¨³µ¡¢Æû³µÉ²³µËùͨ¹ýµÄ¾àÀë·Ö±ðΪs3¡¢s4£¬ÔòÓУº
£¬
ÓÉÓÚs1+s2+s3+s4=84.67m£¾80m£¬Òò´ËÁ½³µ»á·¢ÉúÅöײ£»
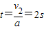
µ±Æû³µ¼õËÙΪÁãʱ£º
´Ëʱ¿¨³µÎ»ÒÆÎª£º
´ËʱÁ½³µ×ÜÎ»ÒÆÖ®ºÍΪ£ºs1+s2+s3+s4=17.5m+10.5m+35m+15m=78m£¬Ð¡ÓÚ80Ã×£¬Òò´Ëµ±Á½³µÏàײʱ£¬Æû³µÒѾֹͣ£®
ËùÒÔ¿¨³µ¼õËÙÎ»ÒÆÎª£ºs=80m-17.5m-10.5m-15m=37m
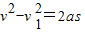
ÉèÏàײʱ¿¨³µËÙ¶ÈΪv£¬Ôò¸ù¾Ý
ÓУº
v2-252=2×£¨-7.5£©×37£¬½âµÃ£ºv=8.37m/s
¹ÊÁ½³µ»á·¢ÉúÅöײ£¬Åöײʱ¿¨³µÊÇËÙ¶ÈΪ£ºv=8.37m/s£®
µãÆÀ£º½â¾ö±¾ÌâµÄ¹Ø¼üÖªµÀÔÚ·´Ó¦Ê±¼äÄÚÁ½³µ×öÔÈËÙÖ±ÏßÔ˶¯£¬É²³µºó×öÔȼõËÙÖ±ÏßÔ˶¯£¬Ã÷È·Õû¸öÔ˶¯¹ý³Ì£¬ÄѵãÔÚÓÚÅжÏÏàײÊÇÔÚÆû³µÍ£Ö¹Ö®Ç°»¹ÊÇÍ£Ö¹Ö®ºó£®
½â´ð£º½â£ºÉ迨³µÐÐÊ»µÄËÙ¶ÈΪv1£¬Æû³µÐÐÊ»µÄËÙ¶ÈΪv2£¬Ôòv1=90km/h=25m/s£¬v2=54 km/h=15 m/s£¬ÔÚ·´Ó¦Ê±¼ä¡÷tÄÚÁ½³µÐÐÊ»µÄ¾àÀë·Ö±ðΪs1¡¢s2£¬Ôò
s1=v1¡÷t=17.5m ¢Ù
s2=v2¡÷t=10.5m ¢Ú
¿¨³µ¡¢Æû³µÉ²³µËùͨ¹ýµÄ¾àÀë·Ö±ðΪs3¡¢s4£¬ÔòÓУº
ÓÉÓÚs1+s2+s3+s4=84.67m£¾80m£¬Òò´ËÁ½³µ»á·¢ÉúÅöײ£»
µ±Æû³µ¼õËÙΪÁãʱ£º
´Ëʱ¿¨³µÎ»ÒÆÎª£º
´ËʱÁ½³µ×ÜÎ»ÒÆÖ®ºÍΪ£ºs1+s2+s3+s4=17.5m+10.5m+35m+15m=78m£¬Ð¡ÓÚ80Ã×£¬Òò´Ëµ±Á½³µÏàײʱ£¬Æû³µÒѾֹͣ£®
ËùÒÔ¿¨³µ¼õËÙÎ»ÒÆÎª£ºs=80m-17.5m-10.5m-15m=37m
ÉèÏàײʱ¿¨³µËÙ¶ÈΪv£¬Ôò¸ù¾Ý
v2-252=2×£¨-7.5£©×37£¬½âµÃ£ºv=8.37m/s
¹ÊÁ½³µ»á·¢ÉúÅöײ£¬Åöײʱ¿¨³µÊÇËÙ¶ÈΪ£ºv=8.37m/s£®
µãÆÀ£º½â¾ö±¾ÌâµÄ¹Ø¼üÖªµÀÔÚ·´Ó¦Ê±¼äÄÚÁ½³µ×öÔÈËÙÖ±ÏßÔ˶¯£¬É²³µºó×öÔȼõËÙÖ±ÏßÔ˶¯£¬Ã÷È·Õû¸öÔ˶¯¹ý³Ì£¬ÄѵãÔÚÓÚÅжÏÏàײÊÇÔÚÆû³µÍ£Ö¹Ö®Ç°»¹ÊÇÍ£Ö¹Ö®ºó£®
Á·Ï°²áϵÁдð°¸
Ïà¹ØÌâÄ¿