题目内容
如图所示,民族运动会上有一个骑射项目,运动员骑在奔弛的马背上沿跑道AB运动,拉弓放箭射向他左侧的固定目标.假设运动员骑马奔驰的速度为v1,运动员静止时射出的箭速度为v2,跑道离固定目标的最近距离OA=d.若不计空气阻力的影响,要想命中目标且射出的箭在空中飞行时间最短,则( )A.运动员放箭处离目标的距离为
B.运动员放箭处离目标的距离为
C.箭射到靶的最短时间为
D.箭射到靶的最短时间为
【答案】分析:将箭的运动分解为沿骑马方向和垂直于骑马方向,当射出箭的方向与骑马方向垂直时,箭射到靶的时间最短,抓住分运动与合运动具有等时性,求出运动员放箭处离目标的距离.
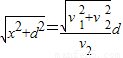
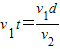
解答:解:当射出箭的方向与骑马方向垂直时,箭射到靶的时间最短,最短时间t=
.此时马离A点的距离x=
.所以运动员放箭处离目标的距离s=
.故B、C正确,A、D错误.
故选BC.
点评:解决本题的关键将箭的运动分解为沿骑马方向和垂直于骑马方向,抓住分运动与合运动具有等时性进行求解.
解答:解:当射出箭的方向与骑马方向垂直时,箭射到靶的时间最短,最短时间t=
故选BC.
点评:解决本题的关键将箭的运动分解为沿骑马方向和垂直于骑马方向,抓住分运动与合运动具有等时性进行求解.
练习册系列答案
相关题目
| A、运动员骑马奔驰时应该瞄准靶心放箭 | ||||
B、运动员应该在距离A点为
| ||||
C、箭射到靶的最短时间为
| ||||
D、箭射到靶的最短时间为
|