ÌâÄ¿ÄÚÈÝ
A£®ËÙ¶È´óС²»±äµÄÇúÏßÔ˶¯
B£®ËÙ¶È´óСÔö¼ÓµÄÇúÏßÔ˶¯
C£®¼ÓËÙ¶È´óС·½Ïò¾ù²»±äµÄÇúÏßÔ˶¯
D£®¼ÓËÙ¶È´óС·½Ïò¾ù±ä»¯µÄÇúÏßÔ˶¯
¡¾´ð°¸¡¿·ÖÎö£ºÎïÌåBˮƽ·½Ïò×öÔÈËÙÔ˶¯£¬ÊúÖ±·½Ïò×öÔȼÓËÙÖ±ÏßÔ˶¯£¬¸ù¾ÝÌâÒâd=H-2t2£¬½áºÏÎ»ÒÆÊ±¼ä¹ØÏµ¹«Ê½£¬¿ÉÒԵóö¼ÓËٶȵĴóС£»ºÏÔ˶¯Óë·ÖÔ˶¯µÄËÙ¶È¡¢¼ÓËٶȶ¼×ñÑÆ½ÐÐËıßÐζ¨Ôò£¬ÓÉÓÚºÏËÙ¶È´óСºÍ·½Ïò¶¼±ä»¯£¬µÃ³öÎïÌåµÄÔ˶¯ÌصãºÍºÏ¼ÓËٶȵÄÇé¿ö£®
½â´ð£º½â£ºA¡¢B¡¢ÎïÌåB²Î¼ÓÁËÁ½¸ö·ÖÔ˶¯£¬Ë®Æ½·½ÏòµÄÔÈËÙÖ±ÏßÔ˶¯ºÍÊúÖ±·½ÏòµÄÔȼÓËÙÖ±ÏßÔ˶¯£»
¶ÔÓÚÊúÖ±·ÖÔ˶¯£¬½áºÏÎ»ÒÆ-ʱ¼ä¹ØÏµ¹«Ê½x=vt+
at2£¬¿ÉµÃµ½
d=H-x=H-£¨v0yt+
at2£© ¢Ù
ÓÖ¸ù¾ÝÌâÒâ
d=H-2t2 ¢Ú
¿ÉÒԵöԱȢ٢ÚÁ½Ê½¿ÉµÃ³ö£º
ÊúÖ±·ÖÔ˶¯µÄ¼ÓËٶȵĴóСΪ
ay=4m/s2
ÊúÖ±·ÖÔ˶¯µÄ³õËÙ¶ÈΪ
v0y=0
¹ÊÊúÖ±·ÖËÙ¶ÈΪ
vy=4t
ÎïÌåµÄˮƽ·ÖËٶȲ»±ä
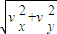
ºÏÔ˶¯µÄËÙ¶ÈΪÊúÖ±·ÖËÙ¶ÈÓëˮƽ·ÖËٶȵĺÏËÙ¶È£¬×ñÑÆ½ÐÐËıßÐζ¨Ôò£¬¹ÊºÏËٶȵķ½Ïò²»¶Ï±ä»¯£¬ÎïÌåÒ»¶¨×öÇúÏßÔ˶¯£¬ºÏËٶȵĴóСv=
£¬¹ÊºÏËٶȵĴóСҲһ¶¨²»¶Ï±ä´ó£¬¹ÊA´íÎó£¬BÕýÈ·£»
C¡¢D¡¢Ë®Æ½·Ö¼ÓËٶȵÈÓÚÁ㣬¹ÊºÏ¼ÓËٶȵÈÓÚÊúÖ±·ÖÔ˶¯µÄ¼ÓËÙ¶È£¬Òò¶øºÏ¼ÓËٶȵĴóСºÍ·½Ïò¶¼²»±ä£¬¹ÊCÕýÈ·£¬D´íÎó£»
¹ÊÑ¡BC£®
µãÆÀ£ººÏÔ˶¯Óë·ÖÔ˶¯¾ßÓеÈЧÐÔ£¬Òò¶ø¿ÉÒÔͨ¹ýÏÈÑо¿·ÖÔ˶¯£¬ÔٺϳÉΪºÏÔ˶¯£¬´Ó¶øµÃµ½ºÏÔ˶¯µÄ¹æÂÉ£®
½â´ð£º½â£ºA¡¢B¡¢ÎïÌåB²Î¼ÓÁËÁ½¸ö·ÖÔ˶¯£¬Ë®Æ½·½ÏòµÄÔÈËÙÖ±ÏßÔ˶¯ºÍÊúÖ±·½ÏòµÄÔȼÓËÙÖ±ÏßÔ˶¯£»
¶ÔÓÚÊúÖ±·ÖÔ˶¯£¬½áºÏÎ»ÒÆ-ʱ¼ä¹ØÏµ¹«Ê½x=vt+
d=H-x=H-£¨v0yt+
ÓÖ¸ù¾ÝÌâÒâ
d=H-2t2 ¢Ú
¿ÉÒԵöԱȢ٢ÚÁ½Ê½¿ÉµÃ³ö£º
ÊúÖ±·ÖÔ˶¯µÄ¼ÓËٶȵĴóСΪ
ay=4m/s2
ÊúÖ±·ÖÔ˶¯µÄ³õËÙ¶ÈΪ
v0y=0
¹ÊÊúÖ±·ÖËÙ¶ÈΪ
vy=4t
ÎïÌåµÄˮƽ·ÖËٶȲ»±ä
ºÏÔ˶¯µÄËÙ¶ÈΪÊúÖ±·ÖËÙ¶ÈÓëˮƽ·ÖËٶȵĺÏËÙ¶È£¬×ñÑÆ½ÐÐËıßÐζ¨Ôò£¬¹ÊºÏËٶȵķ½Ïò²»¶Ï±ä»¯£¬ÎïÌåÒ»¶¨×öÇúÏßÔ˶¯£¬ºÏËٶȵĴóСv=
C¡¢D¡¢Ë®Æ½·Ö¼ÓËٶȵÈÓÚÁ㣬¹ÊºÏ¼ÓËٶȵÈÓÚÊúÖ±·ÖÔ˶¯µÄ¼ÓËÙ¶È£¬Òò¶øºÏ¼ÓËٶȵĴóСºÍ·½Ïò¶¼²»±ä£¬¹ÊCÕýÈ·£¬D´íÎó£»
¹ÊÑ¡BC£®
µãÆÀ£ººÏÔ˶¯Óë·ÖÔ˶¯¾ßÓеÈЧÐÔ£¬Òò¶ø¿ÉÒÔͨ¹ýÏÈÑо¿·ÖÔ˶¯£¬ÔٺϳÉΪºÏÔ˶¯£¬´Ó¶øµÃµ½ºÏÔ˶¯µÄ¹æÂÉ£®
Á·Ï°²áϵÁдð°¸
Ïà¹ØÌâÄ¿