题目内容

初速度为零的离子经过电势差为U的电场加速后,从离子枪T中水平射出,与离子枪相距d处有两平行金属板MN和PQ,整个空间存在一磁感强度为B的匀强磁场如图所示.不考虑重力的作用,荷质比q/m(q,m分别为离子的带电量与质量),应在什么范围内,离子才能打到金属板上?

答案:
解析:

  正确解答:设离子带负电,若离子正好打到金属板的近侧边缘M,则其偏转半

   

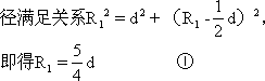
  若离子正好打到金属板的远侧边缘N,则其偏转半径满足关系

   

  即 

  因离子从离子枪射出的速度v由离子枪内的加速电场决定

  

  即 

  代入式④即得

  

  讨论:由以上方程组可知

 

  小结:本题考查的能力要求体现在通过对边界条件的分析,将复杂的问题分解为若干个简单问题;把未知的问题转化为已知条件.并且通过几何关系找出大小两个半径来.从错解中还可以看出,熟练掌握基本的物理模型的特点(加速度与初速度的关系或加速度与位移之间的关系等)对正确选择解题思路的重要性.


练习册系列答案
相关题目

违法和不良信息举报电话:027-86699610 举报邮箱:58377363@163.com

精英家教网