题目内容
在“验证牛顿第二定律”的实验中,打出的纸带如图3-44(a)所示,相邻计数点间的时间间隔是t.(1)测出纸带各相邻计数点之间的距离分别为s1、s2、s3、s4如图(a)所示,为使由实验数据计算的结果更精确一些,计算加速度平均值的公式应为a= .
(2)在该实验中,为验证小车质量M不变时,a与M成正比,小车质量M、砂及砂桶的质量m分别选取下列四组值.
A.M=500g,m分别为50g、70g、100g、125g
B.M=500g,m分别为20g、30g、40g、50g
C.M=200g,m分别为50g、70g、:100g、125g
D.M=200g,m分别为30g、40g、50g、60g
若其他操作都正确,那么在选用 组值测量时所画出的a一F图象较准确.
(3)有位同学通过测量,作出a-F图象,如图(b)所示.试分析:
①图象不通过原点的原因是 .
②图象上部弯曲的原因是 .
【答案】分析:(1)运动为匀加速直线运动,所以加速度可由逐差法取出.
(2)实验时要求小车质量M要远远大于砂及砂桶的质量m,根据这个要求做出选择即可.
(3)根据图象,分析误差出现的原因:平衡摩擦力的原因和小车质量M要远远大于砂及砂桶的质量m关系的原因.
解答:解:(1)由匀变速运动规律得:


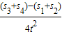
联立得:(s3+s4)-(s1+s2)=4at2解得:
a=
(2)实验时要求小车质量M要远远大于砂及砂桶的质量m,只有B中M与m相差最大,
故选:B
(3)从a-F图象中可以看出:
①当F不为零时,物体仍然没有加速度,所以图象不通过原点的原因是:没有平衡摩擦力或平衡摩擦力不够
设加速度为a:
对小车:F=Ma
对重物:F-mg=ma
联立解得:a=
,所以未满足砂和砂桶的质量m远小于小车的质量M时,当m逐渐变大时,a逐渐变小,故图象出现弯曲.
所以原因是:未满足砂和砂桶的质量m远小于小车的质量M
故答案为:(1)a=
,(2)B,(3)①没有平衡摩擦力或平衡摩擦力不够;②未满足砂和砂桶的质量m远小于小车的质量M
点评:教科书本上的实验,我们要从实验原理、实验仪器、实验步骤、实验数据处理、实验注意事项这几点去搞清楚.对于实验我们要清楚每一项操作存在的理由.比如为什么要平衡摩擦力,为什么要让M>>m等.
(2)实验时要求小车质量M要远远大于砂及砂桶的质量m,根据这个要求做出选择即可.
(3)根据图象,分析误差出现的原因:平衡摩擦力的原因和小车质量M要远远大于砂及砂桶的质量m关系的原因.
解答:解:(1)由匀变速运动规律得:
联立得:(s3+s4)-(s1+s2)=4at2解得:
a=
(2)实验时要求小车质量M要远远大于砂及砂桶的质量m,只有B中M与m相差最大,
故选:B
(3)从a-F图象中可以看出:
①当F不为零时,物体仍然没有加速度,所以图象不通过原点的原因是:没有平衡摩擦力或平衡摩擦力不够
设加速度为a:
对小车:F=Ma
对重物:F-mg=ma
联立解得:a=
所以原因是:未满足砂和砂桶的质量m远小于小车的质量M
故答案为:(1)a=
点评:教科书本上的实验,我们要从实验原理、实验仪器、实验步骤、实验数据处理、实验注意事项这几点去搞清楚.对于实验我们要清楚每一项操作存在的理由.比如为什么要平衡摩擦力,为什么要让M>>m等.
练习册系列答案
相关题目