ÌâÄ¿ÄÚÈÝ
һλͬѧҪÑо¿ÇáÖʵ¯»ÉµÄµ¯ÐÔÊÆÄÜÓ뵯»É³¤¶È¸Ä±äÁ¿µÄ¹ØÏµ£¬ËûµÄʵÑéÈçÏ£ºÔÚÀëµØÃæ¸ß¶ÈΪhµÄ¹â»¬Ë®Æ½×ÀÃæÉÏ£¬ÑØ×ÅÓë×À×Ó±ßÔµ´¹Ö±µÄ·½Ïò·ÅÖÃÒ»ÇáÖʵ¯»É£¬Æä×ó¶Ë¹Ì¶¨£¬ÓÒ¶ËÓëÖÊÁ¿ÎªmµÄһС¸ÖÇò½Ó´¥£®µ±µ¯»É´¦ÓÚ×ÔÈ»³¤¶Èʱ£¬Ð¡¸ÖÇòÇ¡ºÃÔÚ×À×Ó±ßÔµ£¬ÈçͼËùʾ£®ÈÃС¸ÖÇòÏò×óѹËõµ¯»ÉÒ»¶Î¾àÀëºóÓɾ²Ö¹ÊÍ·Å£¬Ê¹¸ÖÇòÑØË®Æ½·½ÏòÉä³ö×ÀÃæ£¬Ð¡ÇòÔÚ¿ÕÖзÉÐкóÂ䵽ˮƽµØÃæÉÏ£¬Ë®Æ½¾àÀëΪs£®
![]()
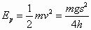
(1)ÇëÄãÍÆµ¼³öµ¯»Éµ¯ÐÔÊÆÄÜEpÓëС¸ÖÇòÖÊÁ¿m¡¢×ÀÃæÀëµØÃæ¸ß¶Èh¡¢Ë®Æ½¾àÀësµÈÎïÀíÁ¿µÄ¹ØÏµÊ½£º________£®
(2)µ¯»ÉµÄѹËõÁ¿xÓë¶ÔÓ¦µÄ¸ÖÇòÔÚ¿ÕÖзÉÐеÄˮƽ¾àÀësµÄʵÑéÊý¾ÝÈçϱíËùʾ£º
![]()
¸ù¾ÝÒÔÉÏʵÑéÊý¾Ý£¬ÇëÄã²Â²âµ¯»ÉµÄµ¯ÐÔÊÆÄÜEpÓ뵯»ÉµÄѹËõÁ¿xÖ®¼äµÄ¹ØÏµ£º
________£®
½âÎö£º
|
¡¡¡¡´ð°¸£º(1) ¡¡¡¡(2) ¡¡¡¡½âÎö£ºÓÉ |
- QQ¿Õ¼ä
- ÐÂÀË΢²©
- °Ù¶ÈËѲØ
- ÈËÈËÍø
- ÌÚѶ΢²©
- ¿ªÐÄÍø
- ÌÚѶÅóÓÑ
- °Ù¶È¿Õ¼ä
- ¶¹°êÍø
- ËѺü΢²©
- MSN
- QQÊÕ²Ø
- ÎÒµÄÌÔ±¦
- °Ù¶ÈÌù°É
- ËѺü°×Éç»á
- ¸ü¶à...
°Ù¶È·ÖÏí
Ò»¸öÓÐÒ»¶¨ºñ¶ÈµÄÔ²ÅÌ£¬¿ÉÒÔÈÆÍ¨¹ýÖÐÐÄ´¹Ö±ÓÚÅÌÃæµÄˮƽÖáת¶¯£¬ÓÃÏÂÃæµÄ·½·¨²âÁ¿ËüÔÈËÙת¶¯Ê±µÄ½ÇËÙ¶È¡£
ʵÑéÆ÷²Ä£ºµç´Å´òµã¼ÆÊ±Æ÷¡¢Ã׳ߡ¢Ö½´ø¡¢¸´Ð´Ö½Æ¬¡£
ʵÑé²½Ö裺
£¨1£©Èçͼ1Ëùʾ£¬½«µç´Å´òµã¼ÆÊ±Æ÷¹Ì¶¨ÔÚ×ÀÃæÉÏ£¬½«Ö½´øµÄÒ»¶Ë´©¹ý´òµã¼ÆÊ±Æ÷µÄÏÞλ¿×ºó£¬¹Ì¶¨ÔÚ´ý²âÔ²Å̵IJàÃæÉÏ£¬Ê¹µÃÔ²ÅÌת¶¯Ê±£¬Ö½´ø¿ÉÒÔ¾íÔÚÔ²Å̲àÃæÉÏ¡£
£¨2£©Æô¶¯¿ØÖÆ×°ÖÃʹԲÅÌת¶¯£¬Í¬Ê±½ÓͨµçÔ´£¬´òµã¼ÆÊ±Æ÷¿ªÊ¼´òµã¡£
£¨3£©¾¹ýÒ»¶Îʱ¼ä£¬Í£Ö¹×ª¶¯ºÍ´òµã£¬È¡ÏÂÖ½´ø£¬½øÐвâÁ¿¡£
¢Ù ÓÉÒÑÖªÁ¿ºÍ²âµÃÁ¿±íʾµÄ½ÇËٶȵıí´ïʽΪ¦Ø=¡¡¡¡¡¡¡¡¡¡¡¡¡¡¡¡¡¡¡¡¡¡ ¡£Ê½Öи÷Á¿µÄÒâÒåÊÇ£º¡¡¡¡¡¡¡¡¡¡¡¡¡¡¡¡¡¡¡¡¡¡¡¡¡¡¡¡¡¡¡¡¡¡¡¡¡¡¡¡¡¡¡¡¡¡¡¡¡¡¡¡
¡¡¡¡¡¡¡¡¡¡¡¡¡¡¡¡¡¡¡¡¡¡¡¡¡¡¡¡¡¡¡¡¡¡¡¡¡¡¡¡¡¡¡¡¡¡¡¡¡¡¡¡¡¡¡¡¡¡¡¡¡¡¡¡¡¡¡¡¡¡ .
¢Ú ij´ÎʵÑé²âµÃÔ²Å̰뾶r=5.50¡Á10-2m£¬µÃµ½Ö½´øµÄÒ»¶ÎÈçͼ2Ëùʾ£¬ÇóµÃ½ÇËÙ¶ÈΪ¡¡¡¡¡¡¡¡¡¡¡¡¡¡¡¡¡¡ ¡£
£¨1£© £¨2£©6.8/s¡£ |