题目内容

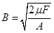
(4分)磁场具有能量,磁场中单位体积所具有的能量叫做能量密度,其值为B2/2μ,式中B是感应强度,μ是磁导率,在空气中μ为一已知常数.为了近似测得条形磁铁磁极端面附近的磁感应强度B,一学生用一根端面面积为A的条形磁铁吸住一相同面积的铁片P,再用力将铁片与磁铁拉开一段微小距离△L,并测出拉力F,如图所示.因为F所做的功等于间隙中磁场的能量,所以由此可得磁感应强度B与F、A之间的关系为B=      

 

 

【答案】

【解析】

试题分析:本题关键根据题意得到磁场能量密度的定义,然后根据功能关系求得条形磁铁与铁片P之间的磁场所具有的能量。因为F所做的功等于△L间隙中磁场的能量,所以先分别求出F所做的功和△L间隙中磁场的能量,然后根据等量关系得出一等式,即可解得

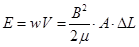
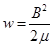
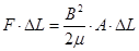
在用力将铁片与磁铁拉开一段微小距离△L的过程中,拉力F可认为不变,因此F所做的功为:;以表示间隙中磁场的能量密度,由题给条件,根据磁能量密度的定义可得:△L间隙中磁场的能量;由题意可知:F所做的功等于△L间隙中磁场的能量,即W=E;所以,解得:

考点:本题考查磁能量密度;弹簧测力计的使用与读数;磁场;功的计算,同时考查考生从新情境中提取物理信息的能力.

 

练习册系列答案
相关题目

违法和不良信息举报电话:027-86699610 举报邮箱:58377363@163.com

精英家教网