题目内容

若有一艘宇宙飞船在某一行星表面做匀速圆周运动,设其周期为T,引力常量为G,那么该行星的平均密度为( )
A.
B.
C.
D.
【答案】分析:根据万有引力等于向心力,可以列式求解出行星的质量,进一步求出密度.
解答:解:飞船绕某一行星表面做匀速圆周运动,万有引力等于向心力                
      F=F
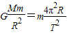
即:
解得:M=
得:
该行星的平均密度为
故选B.
点评:本题可归结为一个结论:环绕行星表面做圆周运动的卫星,其公转周期平方与行星平均密度的乘积是一个定则,即ρT2=
练习册系列答案
相关题目

违法和不良信息举报电话:027-86699610 举报邮箱:58377363@163.com

精英家教网