ÌâÄ¿ÄÚÈÝ
ÈçͼËùʾ£¬ÔÚÕæ¿ÕÖеÄÊúÖ±Æ½ÃæÄÚ£¬Óó¤Îª2LµÄ¾øÔµÇá¸ËÁ¬½ÓÁ½¸öÖÊÁ¿¾ùΪmµÄ´øµçСÇòAºÍB£¬AÇòµÄµçºÉÁ¿Îª+4q£¬BÇòµÄµçºÉÁ¿Îª-3q£¬×é³ÉÒ»´øµçϵͳ£®ÐéÏßMNÓëPQƽÐÐÇÒÏà¾à3L£¬¿ªÊ¼Ê±PQǡΪ¸ËµÄÖд¹Ïߣ®ÔÚMNÓëPQ¼ä¼ÓÊúÖ±ÏòÉϵÄÔÈÇ¿µç³¡£¬Ç¡ÄÜʹ´øµçϵͳ¾²Ö¹²»¶¯£®ÏÖʹµç³¡Ç¿¶ÈͻȻ¼Ó±¶£¨ÒÑÖªµ±µØÖØÁ¦¼ÓËÙ¶ÈΪg£©£¬Ç󣺣¨1£©BÇò¸Õ½øÈëµç³¡Ê±µÄËÙ¶Èv1µÄ´óС£»
£¨2£©BÇòµÄ×î´óÎ»ÒÆ¼°´Ó¿ªÊ¼¾²Ö¹µ½×î´óÎ»ÒÆ´¦BÇòµçÊÆÄܵı仯Á¿£»
£¨3£©´øµçϵͳÔ˶¯µÄÖÜÆÚT£®
¡¾´ð°¸¡¿·ÖÎö£º£¨1£©´øµçϵͳ¾²Ö¹Ê±£¬AËùÊܵĵ糡Á¦Óë×ÜÖØÁ¦Æ½ºâ£¬ÓɶþÁ¦Æ½ºâµÃ³öµç³¡Ç¿¶ÈµÄ±í´ïʽ£®µç³¡Ç¿¶ÈͻȻ¼Ó±¶ºó£¬ÏµÍ³ÏòÉÏ×öÔȼÓËÙÖ±ÏßÔ˶¯£¬µç³¡Á¦¶ÔA×÷Õý¹¦£¬ÖØÁ¦×ö¸º¹¦£¬Óɶ¯Äܶ¨ÀíÇó³öBÇò¸Õ½øÈëµç³¡Ê±µÄËÙ¶Èv1µÄ´óС£»
£¨2£©BÇò½øÈëµç³¡ºó£¬ÏµÍ³×öÔȼõËÙÖ±ÏßÔ˶¯£¬´Ó¿ªÊ¼µ½A¸ÕÔ˶¯µ½MNÏßʱ£¬µç³¡Á¦¶Ôϵͳ×ö¹¦Îª2E?4q?2L-2E?3q?L=10qEL£¬ÏµÍ³¿Ë·þÖØÁ¦×ö¹¦Îª2mg?2L=8qEL£¬Ôòµç³¡Á¦¶Ôϵͳ×ö¹¦´óÓÚϵͳ¿Ë·þÖØÁ¦×ö¹¦£¬ËµÃ÷Aµ½´ïMNÏßʱϵͳÈÔÓÐÏòÉϵÄËÙ¶È£¬ÔòA½«Ô½¹ýMNÏߣ¬¸ù¾Ý¶¯Äܶ¨ÀíÇó³öBÇòÔڵ糡ÖÐ×î´óÎ»ÒÆ£®¸ù¾Ýµç³¡Á¦¶ÔBÇò×öµÄ¹¦£¬·ÖÎöBÇòµÄµçÊÆÄܵı仯Á¿£®
£¨3£©ÏµÍ³ÏòÉÏÔ˶¯·ÖΪÈý½×¶Î£ºµÚÒ»½×¶ÎÔȼÓËÙÔ˶¯£º´Óϵͳ¿ªÊ¼ÏòÉÏÔ˶¯µ½BÇò¸Õ½øÈëµç³¡¹ý³Ì£¬ÏµÍ³×öÔȼÓËÙÖ±ÏßÔ˶¯£¬ÓÉÅ£¶ÙµÚ¶þ¶¨ÂÉÇó³ö¼ÓËÙ¶È£¬ÓɳõËÙ¶È0ºÍÄ©ËÙ¶Èv1£¬ÓÉËٶȹ«Ê½Çó³öÔ˶¯µÄʱ¼ä£®µÚ¶þ½×¶ÎÔȼõËÙÔ˶¯£º´ÓBÇò½øÈëµç³¡µ½A¸Õ³öµç³¡£¬ÏµÍ³×öÔȼõËÙÖ±ÏßÔ˶¯£¬´Ë¹ý³Ìͨ¹ýµÄÎ»ÒÆµÈÓÚL£¬ÓÉÅ£¶Ù¶¨ÂÉÇó³ö¼ÓËÙ¶È£¬ÓÉÔ˶¯Ñ§¹«Ê½Çó³ö´Ë¹ý³ÌÔ˶¯µÄʱ¼ä£»µÚÈý½×¶ÎÔȼõËÙÔ˶¯£ºA³öµç³¡ºó£¬ÏµÍ³×öÔȼõËÙÖ±ÏßÔ˶¯£¬ÓÉÅ£¶Ù¶¨ÂÉÇó³ö¼ÓËÙ¶È£¬ÓÉÔ˶¯Ñ§¹«Ê½Çó³ö´Ë¹ý³ÌÔ˶¯µÄʱ¼ä£¬×îºóÇó³ö×Üʱ¼ä£®
½â´ð£º½â£º
£¨1£©Éè´øµçϵͳ¾²Ö¹Ê±µç³¡Ç¿¶ÈΪE£¬ÔòÓÐ2mg=4qE£¬½âµÃ
¢Ù
µç³¡Ç¿¶È¼Ó±¶ºó£¬ÏµÍ³´Ó¿ªÊ¼¾²Ö¹µ½B½øÈëµç³¡£¬¸ù¾Ý¶¯Äܶ¨ÀíÓÐ
¢Ú
ÁªÁ¢¢Ù¢ÚµÃBÇò¸Õ½øÈëµç³¡Ê±µÄËÙ¶È
£¨2£©ÉèBÇòÔڵ糡ÖеÄ×î´óÎ»ÒÆÎªs£¬¾·ÖÎöÖªAÇòÏòÉÏÔ½¹ýÁËMN£¬
¸ù¾Ý¶¯Äܶ¨ÀíµÃ
¶ÔÕû¸ö¹ý³Ì£º2E?4q?2L-2E?3q?s-2mg£¨s+L£©=0
½âµÃs=1.2L
¹ÊBÇòµÄ×î´óÎ»ÒÆs×Ü=2.2L
µç³¡Á¦¶ÔBÇò×ö¹¦W=-2E?3q?1.2L=-3.6mgL
ËùÒÔBÇòµçÊÆÄÜÔö¼Ó3.6mgL
£¨3£©´øµçϵͳÏòÉÏÔ˶¯·ÖΪÈý½×¶Î£º
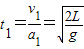
µÚÒ»½×¶ÎÔȼÓËÙÔ˶¯£¬¸ù¾ÝÅ£¶ÙµÚ¶þ¶¨ÂÉÓÐ
£¬Ô˶¯Ê±¼ä
£»
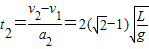
µÚ¶þ½×¶ÎÔȼõËÙÔ˶¯£¬Í¬Àí¿ÉµÃa2=
=
ÉèAÇò³öµç³¡Ê±ËÙ¶ÈΪv2£¬¸ù¾ÝÔ˶¯Ñ§¹«Ê½ÓУºv22-v12=-2a2L£¬
½âµÃ
£¬
£»
µÚÈý½×¶ÎÔȼõËÙÔ˶¯£¬
£¬
ÔòÔ˶¯ÖÜÆÚ
´ð£º£¨1£©BÇò¸Õ½øÈëµç³¡Ê±µÄËÙ¶Èv1µÄ´óСΪ
£»
£¨2£©BÇòµÄ×î´óÎ»ÒÆÎª2.2L£¬´Ó¿ªÊ¼¾²Ö¹µ½×î´óÎ»ÒÆ´¦BÇòµçÊÆÄÜÔö¼Ó3.6mgL£»
£¨3£©´øµçϵͳÔ˶¯µÄÖÜÆÚ
£®
µãÆÀ£º±¾ÌâÊǵ糡ÓëÁ¦Ñ§µÄ×ÛºÏÌ⣬±È½Ï¸´ÔÓ£¬¹Ø¼ü´æÔÚ·ÖÎöÎïÌåϵͳµÄÊÜÁ¦Çé¿ö£¬À´È·¶¨Ô˶¯Çé¿ö£®¿¼²é×ÛºÏÓ¦Óõ糡֪ʶÓëÁ¦Ñ§ÖªÊ¶µÄÄÜÁ¦£®
£¨2£©BÇò½øÈëµç³¡ºó£¬ÏµÍ³×öÔȼõËÙÖ±ÏßÔ˶¯£¬´Ó¿ªÊ¼µ½A¸ÕÔ˶¯µ½MNÏßʱ£¬µç³¡Á¦¶Ôϵͳ×ö¹¦Îª2E?4q?2L-2E?3q?L=10qEL£¬ÏµÍ³¿Ë·þÖØÁ¦×ö¹¦Îª2mg?2L=8qEL£¬Ôòµç³¡Á¦¶Ôϵͳ×ö¹¦´óÓÚϵͳ¿Ë·þÖØÁ¦×ö¹¦£¬ËµÃ÷Aµ½´ïMNÏßʱϵͳÈÔÓÐÏòÉϵÄËÙ¶È£¬ÔòA½«Ô½¹ýMNÏߣ¬¸ù¾Ý¶¯Äܶ¨ÀíÇó³öBÇòÔڵ糡ÖÐ×î´óÎ»ÒÆ£®¸ù¾Ýµç³¡Á¦¶ÔBÇò×öµÄ¹¦£¬·ÖÎöBÇòµÄµçÊÆÄܵı仯Á¿£®
£¨3£©ÏµÍ³ÏòÉÏÔ˶¯·ÖΪÈý½×¶Î£ºµÚÒ»½×¶ÎÔȼÓËÙÔ˶¯£º´Óϵͳ¿ªÊ¼ÏòÉÏÔ˶¯µ½BÇò¸Õ½øÈëµç³¡¹ý³Ì£¬ÏµÍ³×öÔȼÓËÙÖ±ÏßÔ˶¯£¬ÓÉÅ£¶ÙµÚ¶þ¶¨ÂÉÇó³ö¼ÓËÙ¶È£¬ÓɳõËÙ¶È0ºÍÄ©ËÙ¶Èv1£¬ÓÉËٶȹ«Ê½Çó³öÔ˶¯µÄʱ¼ä£®µÚ¶þ½×¶ÎÔȼõËÙÔ˶¯£º´ÓBÇò½øÈëµç³¡µ½A¸Õ³öµç³¡£¬ÏµÍ³×öÔȼõËÙÖ±ÏßÔ˶¯£¬´Ë¹ý³Ìͨ¹ýµÄÎ»ÒÆµÈÓÚL£¬ÓÉÅ£¶Ù¶¨ÂÉÇó³ö¼ÓËÙ¶È£¬ÓÉÔ˶¯Ñ§¹«Ê½Çó³ö´Ë¹ý³ÌÔ˶¯µÄʱ¼ä£»µÚÈý½×¶ÎÔȼõËÙÔ˶¯£ºA³öµç³¡ºó£¬ÏµÍ³×öÔȼõËÙÖ±ÏßÔ˶¯£¬ÓÉÅ£¶Ù¶¨ÂÉÇó³ö¼ÓËÙ¶È£¬ÓÉÔ˶¯Ñ§¹«Ê½Çó³ö´Ë¹ý³ÌÔ˶¯µÄʱ¼ä£¬×îºóÇó³ö×Üʱ¼ä£®
½â´ð£º½â£º
£¨1£©Éè´øµçϵͳ¾²Ö¹Ê±µç³¡Ç¿¶ÈΪE£¬ÔòÓÐ2mg=4qE£¬½âµÃ
µç³¡Ç¿¶È¼Ó±¶ºó£¬ÏµÍ³´Ó¿ªÊ¼¾²Ö¹µ½B½øÈëµç³¡£¬¸ù¾Ý¶¯Äܶ¨ÀíÓÐ
ÁªÁ¢¢Ù¢ÚµÃBÇò¸Õ½øÈëµç³¡Ê±µÄËÙ¶È
£¨2£©ÉèBÇòÔڵ糡ÖеÄ×î´óÎ»ÒÆÎªs£¬¾·ÖÎöÖªAÇòÏòÉÏÔ½¹ýÁËMN£¬
¸ù¾Ý¶¯Äܶ¨ÀíµÃ
¶ÔÕû¸ö¹ý³Ì£º2E?4q?2L-2E?3q?s-2mg£¨s+L£©=0
½âµÃs=1.2L
¹ÊBÇòµÄ×î´óÎ»ÒÆs×Ü=2.2L
µç³¡Á¦¶ÔBÇò×ö¹¦W=-2E?3q?1.2L=-3.6mgL
ËùÒÔBÇòµçÊÆÄÜÔö¼Ó3.6mgL
£¨3£©´øµçϵͳÏòÉÏÔ˶¯·ÖΪÈý½×¶Î£º
µÚÒ»½×¶ÎÔȼÓËÙÔ˶¯£¬¸ù¾ÝÅ£¶ÙµÚ¶þ¶¨ÂÉÓÐ
µÚ¶þ½×¶ÎÔȼõËÙÔ˶¯£¬Í¬Àí¿ÉµÃa2=
ÉèAÇò³öµç³¡Ê±ËÙ¶ÈΪv2£¬¸ù¾ÝÔ˶¯Ñ§¹«Ê½ÓУºv22-v12=-2a2L£¬
½âµÃ
µÚÈý½×¶ÎÔȼõËÙÔ˶¯£¬
ÔòÔ˶¯ÖÜÆÚ
´ð£º£¨1£©BÇò¸Õ½øÈëµç³¡Ê±µÄËÙ¶Èv1µÄ´óСΪ
£¨2£©BÇòµÄ×î´óÎ»ÒÆÎª2.2L£¬´Ó¿ªÊ¼¾²Ö¹µ½×î´óÎ»ÒÆ´¦BÇòµçÊÆÄÜÔö¼Ó3.6mgL£»
£¨3£©´øµçϵͳÔ˶¯µÄÖÜÆÚ
µãÆÀ£º±¾ÌâÊǵ糡ÓëÁ¦Ñ§µÄ×ÛºÏÌ⣬±È½Ï¸´ÔÓ£¬¹Ø¼ü´æÔÚ·ÖÎöÎïÌåϵͳµÄÊÜÁ¦Çé¿ö£¬À´È·¶¨Ô˶¯Çé¿ö£®¿¼²é×ÛºÏÓ¦Óõ糡֪ʶÓëÁ¦Ñ§ÖªÊ¶µÄÄÜÁ¦£®
Á·Ï°²áϵÁдð°¸
Ïà¹ØÌâÄ¿
| A¡¢eµãºÍgµãµÄµç³¡Ç¿¶ÈÏàͬ | B¡¢aµãºÍfµãµÄµçÊÆ²»ÏàµÈ | C¡¢µç×Ó´Ógµãµ½fµãÔÙµ½eµã¹ý³ÌÖУ¬µçÊÆÄÜÒ»Ö±Ôö¼Ó | D¡¢µç×Ó´Ófµãµ½eµãÔÙµ½aµã¹ý³ÌÖУ¬µç³¡Á¦ÏÈ×ö¹¦ÎªÁã |