题目内容
关于平抛运动,下列说法中正确的是
A.平抛运动是匀变速运动
B.做平抛运动的物体,在任何相等的时间内速度的变化量都是相等的
C.可以分解为水平方向的匀速直线运动和竖直方向的自由落体运动
D.落地时间和落地时的速度只与抛出点的高度有关
解析:
|
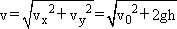
从平抛运动的基本特点和基本规律着手考虑.做平抛运动的物体只受重力,加速度恒定,它是一个匀变速曲线运动,因此A正确.又由速度的变化量Δv与时间Δt的关系可得:Δv=gΔt,即在任何相等的时间内速度的变化量相等,故B正确.平抛运动可分解为水平方向的匀速直线运动及竖直方向的自由落体运动,且落地时间 |
- QQ空间
- 新浪微博
- 百度搜藏
- 人人网
- 腾讯微博
- 开心网
- 腾讯朋友
- 百度空间
- 豆瓣网
- 搜狐微博
- MSN
- QQ收藏
- 我的淘宝
- 百度贴吧
- 搜狐白社会
- 更多...
百度分享
一个有一定厚度的圆盘,可以绕通过中心垂直于盘面的水平轴转动,用下面的方法测量它匀速转动时的角速度。
实验器材:电磁打点计时器、米尺、纸带、复写纸片。
实验步骤:
(1)如图1所示,将电磁打点计时器固定在桌面上,将纸带的一端穿过打点计时器的限位孔后,固定在待测圆盘的侧面上,使得圆盘转动时,纸带可以卷在圆盘侧面上。
(2)启动控制装置使圆盘转动,同时接通电源,打点计时器开始打点。
(3)经过一段时间,停止转动和打点,取下纸带,进行测量。
① 由已知量和测得量表示的角速度的表达式为ω= 。式中各量的意义是:
.
② 某次实验测得圆盘半径r=5.50×10-2m,得到纸带的一段如图2所示,求得角速度为 。
(1) (2)6.8/s。 |