题目内容
如图所示,输电线上的互感器B1的原副线圈的匝数比为100:1,B2的原副线圈的匝数之比1:40,电压表的示数为110V,电流表的示数为3A,则输电功率是 .
【答案】分析:由图可知:电压表测量的是副线圈电压,电流表测量的是副线圈电流,根据输出电压是由输入电压和匝数比决定的,输入的功率的大小是由输出功率的大小决定的,电压与匝数成正比,电流与匝数成反比分析即可.
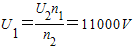
解答:解:对互感器B1根据
得:
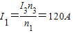
对互感器B2根据
得:
P1=U1I1=11000×120W=1320KW
故答案为:1320KW.
点评:本题主要考查变压器的知识,要能对变压器的最大值、有效值、瞬时值以及变压器变压原理、功率等问题彻底理解,注意电压表和电流表测量的是有效值.
解答:解:对互感器B1根据
对互感器B2根据
P1=U1I1=11000×120W=1320KW
故答案为:1320KW.
点评:本题主要考查变压器的知识,要能对变压器的最大值、有效值、瞬时值以及变压器变压原理、功率等问题彻底理解,注意电压表和电流表测量的是有效值.
练习册系列答案
相关题目