题目内容
( )
A.U1变大、U2变大
B.U1变小、U2变大
C.U1变大、U2变小
D.U1变小、U2变小
【答案】分析:电子在加速电场中,在电场力的作用下,做匀加速直线运动,可由电场力做功求出射出加速电场是的速度.电子在水平放置的平行板之间,因受到的电场力的方向与初速度的方向垂直,故电子做类平抛运动.运用平抛运动的竖直方向的速度与水平方向的速度的关系,可求出角度θ的变化情况.
解答:解:
设电子被加速后获得初速为v,则由动能定理得:
…①
又设极板长为l,则电子在电场中偏转所用时间:
…②
又设电子在平行板间受电场力作用产生加速度为a,由牛顿第二定律得:
…③
电子射出偏转电场时,平行于电场方向的速度:vy=at…④
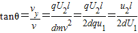
由①、②、③、④可得:
又有:
故U2变大或U1变小都可能使偏转角θ变大,故选项B正确,选项ACD错误.
故选B.
点评:带电粒子在电场中的运动,可分为三类,第一类是在匀强电场中做匀变速速直线运动,此过程是电势能与带电粒子动能之间的转化.第二类是带电粒子在匀强电场中偏转,带电粒子垂直进出入匀强电场时做匀变速曲线运动,分解为两个方向的直线运动,分别用公式分析、求解运算,是这类问题的最基本解法.第三类是带电粒子在点电荷形成的电场中做匀速圆周运动,应用圆周运动的知识求解.
解答:解:
设电子被加速后获得初速为v,则由动能定理得:
又设极板长为l,则电子在电场中偏转所用时间:
又设电子在平行板间受电场力作用产生加速度为a,由牛顿第二定律得:
电子射出偏转电场时,平行于电场方向的速度:vy=at…④
由①、②、③、④可得:
又有:
故U2变大或U1变小都可能使偏转角θ变大,故选项B正确,选项ACD错误.
故选B.
点评:带电粒子在电场中的运动,可分为三类,第一类是在匀强电场中做匀变速速直线运动,此过程是电势能与带电粒子动能之间的转化.第二类是带电粒子在匀强电场中偏转,带电粒子垂直进出入匀强电场时做匀变速曲线运动,分解为两个方向的直线运动,分别用公式分析、求解运算,是这类问题的最基本解法.第三类是带电粒子在点电荷形成的电场中做匀速圆周运动,应用圆周运动的知识求解.
练习册系列答案
相关题目