题目内容
在“验证机械能守恒定律”实验中,打出的纸带如下图所示.设重锤质量为m,交变电源周期为T,则打第4点时重锤的动能可以表示为______.为了求起点0到第4点重锤的重力势能变化,需要知道重力加速度g的值,这个g值应该是______(填选项的序号即可)
A.取当地的实际g值 B.根据打出的纸带,用△S=gT2求出
C.近似取10m/s2即可 D.以上说法均不对.
【答案】分析:纸带法实验中,若纸带匀变速直线运动,测得纸带上的点间距,利用匀变速直线运动的推论,可计算出打出某点时纸带运动的瞬时速度和加速度,从而求出动能.
实验的目的是验证机械能守恒,所以求解重力势能变化需要的g应取当地的实际g值.
解答:解:利用匀变速直线运动的推论
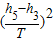
v4=
=
Ek4=
mv42=
m
实验的目的是验证机械能守恒,所以求解重力势能变化需要的g应取当地的实际g值.如果采用△S=gT2求解,那么求出来的只是运动的加速度.故选A.
点评:纸带问题的处理时力学实验中常见的问题.我们可以纸带法实验中,若纸带匀变速直线运动,测得纸带上的点间距,利用匀变速直线运动的推论,可计算出打出某点时纸带运动的瞬时速度和加速度.
实验的目的是验证机械能守恒,所以求解重力势能变化需要的g应取当地的实际g值.
解答:解:利用匀变速直线运动的推论
v4=
Ek4=
实验的目的是验证机械能守恒,所以求解重力势能变化需要的g应取当地的实际g值.如果采用△S=gT2求解,那么求出来的只是运动的加速度.故选A.
点评:纸带问题的处理时力学实验中常见的问题.我们可以纸带法实验中,若纸带匀变速直线运动,测得纸带上的点间距,利用匀变速直线运动的推论,可计算出打出某点时纸带运动的瞬时速度和加速度.
练习册系列答案
相关题目