ÌâÄ¿ÄÚÈÝ

ÔÚÓõ¥°Ú²â¶¨ÖØÁ¦¼ÓËٶȵÄʵÑéÖУ¬µ¥°ÚµÄ°Ú½Ç¦ÈÓ¦______£¬´Ó°ÚÇò¾­¹ý______£¬¿ªÊ¼¼ÆÊ±£¬²â³ön´ÎÈ«Õñ¶¯µÄʱ¼äΪt£¬ÓúÁÃ׿̶ȳ߲â³ö°ÚÏß³¤ÎªL£¬ÓÃÓα꿨³ß²â³ö°ÚÇòµÄÖ±¾¶ÎªD£®
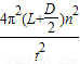
£¨1£©ÓÃÉÏÊöÎïÀíÁ¿µÄ·ûºÅд³ö²âÖØÁ¦¼ÓËٶȵÄÒ»°ã±í´ïʽΪg=______
£¨2£©ÊµÑéÖÐijͬѧ·¢ÏÖËû²â³öµÄÖØÁ¦¼ÓËÙ¶ÈÖµ×ÜÊÇÆ«´ó£¬ÆäÔ­Òò¿ÉÄÜÊÇ______
A¡¢ÊµÑéÊÒ´¦ÔÚ¸ßɽÉÏ£¬Àëº£Æ½ÃæÌ«¸ß
B¡¢µ¥°ÚËùÓõİÚÇòÌ«ÖØ
C¡¢²â³ön´ÎÈ«Õñ¶¯µÄʱ¼äΪt£¬Îó×÷Ϊ£¨n+1£©´ÎÈ«Õñ¶¯µÄʱ¼ä½øÐмÆËã
D¡¢ÒÔ°ÚÇòµÄÖ±¾¶ºÍ°ÚÏßÖ®ºÍ×÷Ϊ°Ú³¤À´¼ÆË㣮
¡¾´ð°¸¡¿·ÖÎö£ºµ¥°ÚÔڰڽDZȽÏСʱ£¬µ¥°ÚµÄÔ˶¯²Å¿ÉÒÔ¿´³É¼òгÔ˶¯£®°ÚÇò¾­¹ýƽºâλÖÃʱËÙ¶È×î´ó£¬´Ëʱ¼ÆÊ±£¬Îó²î±È½ÏС£®¸ù¾Ýµ¥°ÚµÄ¹«Ê½£¬ÍƵ¼³ögµÄ±í´ïʽ£®ÔÙ¸ù¾ÝgµÄ±í´ïʽ·ÖÎöÎó²îÐγɵÄÔ­Òò£®
½â´ð£º½â£ºµ¥°ÚÔڰڽDZȽÏСʱ£¬µ¥°ÚµÄÔ˶¯²Å¿ÉÒÔ¿´³É¼òгÔ˶¯£¬ËùÒÔµ¥°ÚµÄ°Ú½Ç¦ÈӦСÓÚ5°£®°ÚÇò¾­¹ýƽºâλÖõÄËÙ¶È×î´ó£¬×î´óÎ»ÒÆ´¦ËÙ¶ÈΪ0£¬ÔÚÆ½ºâλÖüÆÊ±Îó²î×îС£®
£¨1£©µ¥°ÚµÄ°Ú³¤ÎªL+£¬µ¥°ÚµÄÖÜÆÚT=£¬¸ù¾Ýµ¥°ÚµÄ¹«Ê½£¬ËùÒÔg=£®
£¨2£©A¡¢¸ß¶ÈÔ½¸ß£¬ÖØÁ¦¼ÓËÙ¶ÈԽС£¬µ«ÊÇλÖò»ÊÇÓ°Ïì²âÁ¿ÖØÁ¦¼ÓËÙ¶ÈÆ«´óƫСµÄÔ­Òò£®¹ÊA´íÎó£®
     B¡¢°ÚÇòµÄÖÊÁ¿²»Ó°ÏìÖØÁ¦¼ÓËٶȵĴóС£®¹ÊB´íÎó£®
     C¡¢²â³ön´ÎÈ«Õñ¶¯µÄʱ¼äΪt£¬Îó×÷Ϊ£¨n+1£©´ÎÈ«Õñ¶¯µÄʱ¼ä½øÐмÆË㣬²âµÃÖÜÆÚÆ«Ð¡£¬¸ù¾Ý£¬Öª²âµÃÖØÁ¦¼ÓËÙ¶ÈÆ«´ó£®¹ÊCÕýÈ·£®
     D¡¢ÒÔ°ÚÇòµÄÖ±¾¶ºÍ°ÚÏßÖ®ºÍ×÷Ϊ°Ú³¤À´¼ÆË㣬²âµÃ°Ú³¤Æ«´ó£¬¸ù¾Ý£¬Öª²âµÃÖØÁ¦¼ÓËÙ¶ÈÆ«´ó£®¹ÊDÕýÈ·£®
¹ÊÑ¡CD£®
¹Ê±¾Ìâ´ð°¸Îª£ºÐ¡ÓÚ5£¬Æ½ºâλÖ㬣¬CD£®
µãÆÀ£º½â¾ö±¾ÌâµÄ¹Ø¼üÕÆÎÕµ¥°ÚµÄÖÜÆÚ¹«Ê½£¬ÒÔ¼°ÔÚʵÑéÖаڳ¤µÈÓÚ°ÚÏߵij¤¶ÈÓë°ÚÇòµÄ°ë¾¶Ö®ºÍ£¬´ÓƽºâλÖÿªÊ¼¼ÆÊ±Îó²î½ÏС£®
Á·Ï°²áϵÁдð°¸
Ïà¹ØÌâÄ¿

£¨1£©ÏÂÁÐÓйظßÖÐÎïÀíʵÑéµÄÃèÊöÖУ¬ÕýÈ·µÄÊÇ            ¡£

A£®ÔÚ¡°Óõ¥°Ú²â¶¨ÖØÁ¦¼ÓËÙ¶È¡±µÄʵÑéÖУ¬Èç¹û°Ú³¤µÄ²âÁ¿¼°Ãë±íµÄ¶ÁÊý¾ùÎÞÎ󣬶ø²âµÃµÄgÖµÃ÷ÏÔÆ«Ð¡£¬ÆäÔ­Òò¿ÉÄÜÊǽ«È«Õñ¶¯µÄ´ÎÊýnÎó¼ÆÎªn£­1

B£®ÔÚÓôòµã¼ÆÊ±Æ÷¡°Ñо¿ÔȱäËÙÖ±ÏßÔ˶¯¡±µÄʵÑéÖУ¬Í¨¹ýÔÚÖ½´øÉÏ´òϵÄһϵÁе㼣¿ÉÇó³öÖ½´øÉÏÈÎÒâÁ½¸öµã¼£Ö®¼äµÄƽ¾ùËÙ¶È

C£®ÔÚ¡°ÑéÖ¤»úеÄÜÊØºã¶¨ÂÉ¡±µÄʵÑéÖУ¬±ØÐëÒªÓÃÌìÆ½²â³öÏÂÂäÎïÌåµÄÖÊÁ¿

D£®ÔÚ¡°ÑéÖ¤Á¦µÄƽÐÐËıßÐζ¨Ôò¡±µÄʵÑéÖУ¬À­ÏðÆ¤½îµÄϸÉþÒªÉÔ³¤£¬²¢ÇÒʵÑéʱҪʹµ¯»É²âÁ¦¼ÆÓëľ°åÆ½ÃæÆ½ÐУ¬Í¬Ê±±£Ö¤µ¯»ÉµÄÖáÏßÓëϸÉþÔÚͬһֱÏßÉÏ

£¨2£©ÔÚÑÝʾ¼òгÔ˶¯Í¼ÏóµÄɳ°ÚʵÑéÖУ¬Ê¹Ä¾°åÑØÖ±ÏßOO¡ä×öÔȼÓËÙÖ±ÏßÔ˶¯£¬°Ú¶¯×ŵÄ©¶·ÖЩ³öµÄɳÔÚľ°åÉÏÏÔʾ³öÈçͼÒÒËùʾÇúÏߣ¬A¡¢B¡¢C¡¢D¾ùΪֱÏßOO¡äÉϵĵ㣬²â³ö =16 cm,= 48 cm£¬°Ú³¤Îª64 cm£¨¿ÉÊÓΪ²»±ä£©£¬°Ú½ÇСÓÚ5¡ã£¬Ôò¸Ãɳ°ÚµÄÖÜÆÚΪ______s£¬Ä¾°åµÄ¼ÓËÙ¶È´óСԼΪ______ m/s2(gÈ¡9£®8m/s2)?

£¨1£©ÏÂÁÐÓйظßÖÐÎïÀíʵÑéµÄÃèÊöÖУ¬ÕýÈ·µÄÊÇ            ¡£

A£®ÔÚ¡°Óõ¥°Ú²â¶¨ÖØÁ¦¼ÓËÙ¶È¡±µÄʵÑéÖУ¬Èç¹û°Ú³¤µÄ²âÁ¿¼°Ãë±íµÄ¶ÁÊý¾ùÎÞÎ󣬶ø²âµÃµÄgÖµÃ÷ÏÔÆ«Ð¡£¬ÆäÔ­Òò¿ÉÄÜÊǽ«È«Õñ¶¯µÄ´ÎÊýnÎó¼ÆÎªn£­1

B£®ÔÚÓôòµã¼ÆÊ±Æ÷¡°Ñо¿ÔȱäËÙÖ±ÏßÔ˶¯¡±µÄʵÑéÖУ¬Í¨¹ýÔÚÖ½´øÉÏ´òϵÄһϵÁе㼣¿ÉÇó³öÖ½´øÉÏÈÎÒâÁ½¸öµã¼£Ö®¼äµÄƽ¾ùËÙ¶È

C£®ÔÚ¡°ÑéÖ¤»úеÄÜÊØºã¶¨ÂÉ¡±µÄʵÑéÖУ¬±ØÐëÒªÓÃÌìÆ½²â³öÏÂÂäÎïÌåµÄÖÊÁ¿

D£®ÔÚ¡°ÑéÖ¤Á¦µÄƽÐÐËıßÐζ¨Ôò¡±µÄʵÑéÖУ¬À­ÏðÆ¤½îµÄϸÉþÒªÉÔ³¤£¬²¢ÇÒʵÑéʱҪʹµ¯»É²âÁ¦¼ÆÓëľ°åÆ½ÃæÆ½ÐУ¬Í¬Ê±±£Ö¤µ¯»ÉµÄÖáÏßÓëϸÉþÔÚͬһֱÏßÉÏ

£¨2£©ÔÚÑÝʾ¼òгÔ˶¯Í¼ÏóµÄɳ°ÚʵÑéÖУ¬Ê¹Ä¾°åÑØÖ±ÏßOO¡ä×öÔȼÓËÙÖ±ÏßÔ˶¯£¬°Ú¶¯×ŵÄ©¶·ÖЩ³öµÄɳÔÚľ°åÉÏÏÔʾ³öÈçͼÒÒËùʾÇúÏߣ¬A¡¢B¡¢C¡¢D¾ùΪֱÏßOO¡äÉϵĵ㣬²â³ö =16 cm,= 48 cm£¬°Ú³¤Îª64 cm£¨¿ÉÊÓΪ²»±ä£©£¬°Ú½ÇСÓÚ5¡ã£¬Ôò¸Ãɳ°ÚµÄÖÜÆÚΪ______s£¬Ä¾°åµÄ¼ÓËÙ¶È´óСԼΪ______ m/s2(gÈ¡9£®8m/s2)?

 £¨1£©(4·Ö)ÏÂÁÐÓйظßÖÐÎïÀíʵÑéµÄÃèÊöÖУ¬ÕýÈ·µÄÊÇ           ¡£

A£®ÔÚ¡°Óõ¥°Ú²â¶¨ÖØÁ¦¼ÓËÙ¶È¡±µÄʵÑéÖУ¬Èç¹û°Ú³¤µÄ²âÁ¿¼°Ãë±íµÄ¶ÁÊý¾ùÎÞÎ󣬶ø²âµÃµÄgÖµÃ÷ÏÔÆ«Ð¡£¬ÆäÔ­Òò¿ÉÄÜÊǽ«È«Õñ¶¯µÄ´ÎÊýnÎó¼ÆÎªn£­1

B£®ÔÚÓôòµã¼ÆÊ±Æ÷¡°Ñо¿ÔȱäËÙÖ±ÏßÔ˶¯¡±µÄʵÑéÖУ¬Í¨¹ýÔÚÖ½´øÉÏ´òϵÄһϵÁе㼣¿ÉÇó³öÖ½´øÉÏÈÎÒâÁ½¸öµã¼£Ö®¼äµÄƽ¾ùËÙ¶È

C£®ÔÚ¡°ÑéÖ¤»úеÄÜÊØºã¶¨ÂÉ¡±µÄʵÑéÖУ¬±ØÐëÒªÓÃÌìÆ½²â³öÏÂÂäÎïÌåµÄÖÊÁ¿

D£®ÔÚ¡°ÑéÖ¤Á¦µÄƽÐÐËıßÐζ¨Ôò¡±µÄʵÑéÖУ¬À­ÏðÆ¤½îµÄϸÉþÒªÉÔ³¤£¬²¢ÇÒʵÑéʱҪʹµ¯»É²âÁ¦¼ÆÓëľ°åÆ½ÃæÆ½ÐУ¬Í¬Ê±±£Ö¤µ¯»ÉµÄÖáÏßÓëϸÉþÔÚͬһֱÏßÉÏ

 

£¨2£©£¨6·Ö£©ÔÚÑÝʾ¼òгÔ˶¯Í¼ÏóµÄɳ°ÚʵÑéÖУ¬Ê¹Ä¾°åÑØÖ±ÏßOO¡ä×öÔȼÓËÙÖ±ÏßÔ˶¯£¬°Ú¶¯×ŵÄ©¶·ÖЩ³öµÄɳÔÚľ°åÉÏÏÔʾ³öÈçͼÒÒËùʾÇúÏߣ¬A¡¢B¡¢C¡¢D¾ùΪֱÏßOO¡äÉϵĵ㣬²â³ö=16 cm,= 48 cm£¬°Ú³¤Îª64 cm£¨¿ÉÊÓΪ²»±ä£©£¬°Ú½ÇСÓÚ5¡ã£¬Ôò¸Ãɳ°ÚµÄÖÜÆÚΪ______s£¬Ä¾°åµÄ¼ÓËÙ¶È´óСԼΪ______ m/s2(gÈ¡9£®8m/s2)?

 

 £¨1£©(4·Ö)ÏÂÁÐÓйظßÖÐÎïÀíʵÑéµÄÃèÊöÖУ¬ÕýÈ·µÄÊÇ            ¡£

A£®ÔÚ¡°Óõ¥°Ú²â¶¨ÖØÁ¦¼ÓËÙ¶È¡±µÄʵÑéÖУ¬Èç¹û°Ú³¤µÄ²âÁ¿¼°Ãë±íµÄ¶ÁÊý¾ùÎÞÎ󣬶ø²âµÃµÄgÖµÃ÷ÏÔÆ«Ð¡£¬ÆäÔ­Òò¿ÉÄÜÊǽ«È«Õñ¶¯µÄ´ÎÊýnÎó¼ÆÎªn£­1

B£®ÔÚÓôòµã¼ÆÊ±Æ÷¡°Ñо¿ÔȱäËÙÖ±ÏßÔ˶¯¡±µÄʵÑéÖУ¬Í¨¹ýÔÚÖ½´øÉÏ´òϵÄһϵÁе㼣¿ÉÇó³öÖ½´øÉÏÈÎÒâÁ½¸öµã¼£Ö®¼äµÄƽ¾ùËÙ¶È

C£®ÔÚ¡°ÑéÖ¤»úеÄÜÊØºã¶¨ÂÉ¡±µÄʵÑéÖУ¬±ØÐëÒªÓÃÌìÆ½²â³öÏÂÂäÎïÌåµÄÖÊÁ¿

D£®ÔÚ¡°ÑéÖ¤Á¦µÄƽÐÐËıßÐζ¨Ôò¡±µÄʵÑéÖУ¬À­ÏðÆ¤½îµÄϸÉþÒªÉÔ³¤£¬²¢ÇÒʵÑéʱҪʹµ¯»É²âÁ¦¼ÆÓëľ°åÆ½ÃæÆ½ÐУ¬Í¬Ê±±£Ö¤µ¯»ÉµÄÖáÏßÓëϸÉþÔÚͬһֱÏßÉÏ

 

£¨2£©£¨6·Ö£©ÔÚÑÝʾ¼òгÔ˶¯Í¼ÏóµÄɳ°ÚʵÑéÖУ¬Ê¹Ä¾°åÑØÖ±ÏßOO¡ä×öÔȼÓËÙÖ±ÏßÔ˶¯£¬°Ú¶¯×ŵÄ©¶·ÖЩ³öµÄɳÔÚľ°åÉÏÏÔʾ³öÈçͼÒÒËùʾÇúÏߣ¬A¡¢B¡¢C¡¢D¾ùΪֱÏßOO¡äÉϵĵ㣬²â³ö =16 cm,= 48 cm£¬°Ú³¤Îª64 cm£¨¿ÉÊÓΪ²»±ä£©£¬°Ú½ÇСÓÚ5¡ã£¬Ôò¸Ãɳ°ÚµÄÖÜÆÚΪ______s£¬Ä¾°åµÄ¼ÓËÙ¶È´óСԼΪ______ m/s2(gÈ¡9£®8m/s2)?

 

Î¥·¨ºÍ²»Á¼ÐÅÏ¢¾Ù±¨µç»°£º027-86699610 ¾Ù±¨ÓÊÏ䣺58377363@163.com

¾«Ó¢¼Ò½ÌÍø