题目内容
具有某一速率v的子弹(不计重力)恰好能垂直穿过3块叠放在一起的完全相同的固定木板,如果木板对子弹的阻力相同,则该子弹在射穿第一块木板时的速率为( )A.
B.
C.
D.
【答案】分析:子弹在穿越木板的过程中,阻力做负功,使子弹的动能减小,根据动能定理分别研究子弹射穿第一块木板和穿过3块木板的过程,利用比例法求解子弹在射穿第一块木板时的速率.
解答:解:设子弹在射穿第一块木板时的速率为V,每块木板的厚度为d,阻力大小为f,则根据动能定理得
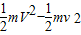
子弹射穿第一块木板的过程:-fd=
①
子弹射穿3块木板的过程:-3fd=0-
②
由①:②解得
V=
故选A
点评:本题运用动能定理时关键是选择研究的过程,也可以运用运动学公式进行研究求解.
解答:解:设子弹在射穿第一块木板时的速率为V,每块木板的厚度为d,阻力大小为f,则根据动能定理得
子弹射穿第一块木板的过程:-fd=
子弹射穿3块木板的过程:-3fd=0-
由①:②解得
V=
故选A
点评:本题运用动能定理时关键是选择研究的过程,也可以运用运动学公式进行研究求解.
练习册系列答案
相关题目