题目内容
在利用重锤下落验证机械能守恒定律的实验中:(1)实验中动能的增加量应略 (选填“大于”、“小于”或“等于”)重力势能的减少量,其主要原因是 .
A.重物下落的实际距离大于测量值 B.重物下落的实际距离小于测量值
C.重物下落受到阻力 D.重物的实际末速度大于计算值
(2)甲、乙、丙三位同学分别得到A、B、C三条纸带,他们的前两个点间的距离分别是1.0mm、1.9mm、4.0mm.那么应该选用 同学的纸带最为理想,一定存在操作误差的同学是 ,可能的错误原因是 .
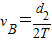
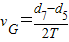
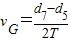
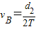
(3)如图所示,有一条纸带,各点距A点的距离分别为d1,d2,d3,…,各相邻点间的时间间隔为T,当地重力加速度为g.要用它来验证物体从B到G处的机械能是否守恒,则B点的速度表达式为vB= ,G点的速度表达式为vG= ,若B点和G点的速度vB、vG及BG间的距离h均为已知量,则当满足 时,物体的机械能守恒.
【答案】分析:(1)验证机械能守恒定律的实验时,由于空气阻力以及纸带与限位孔之间的摩擦,物体动能的增加量要小于重力势能的减少量.
(2)当物体自由下落时,第一、二两点之间的距离为:
,由此可得出正确结果.
(3)根据匀变速直线运动中,时间中点的瞬时速度等于该过程中的平均速度,可以得出B、G两点的瞬时速度大小,根据功能关系可得出正确表达式.
解答:解:(1)验证机械能守恒定律的实验时,由于空气阻力以及纸带与限位孔之间的摩擦,物体动能的增加量要小于重力势能的减少量,故ABD错误,C正确.
故答案为:小于;C.
(2)当物体自由下落时,第一、二两点之间的距离为:
,由此可知乙同学的纸带最为理想,丙同学所得出的纸带,开始两点之间的距离明显大小2mm,着说明他在操作过程中开始打点时,纸带已经具有了速度,可能原因是先释放重物,后接通电源(或释放纸带初速度不为零等).
故答案为:乙,丙,先释放重物,后接通电源(或释放纸带初速度不为零等).
(3)根据匀变速直线运动中,时间中点的瞬时速度等于该过程中的平均速度,得出B、G两点的瞬时速度大小分别为:


根据功能关系有:
即有:
.
故答案为:
,
,
.
点评:答实验问题的关键是明确实验原理,熟练应用物理基本规律,因此这点在平时训练中要重点加强.
(2)当物体自由下落时,第一、二两点之间的距离为:
(3)根据匀变速直线运动中,时间中点的瞬时速度等于该过程中的平均速度,可以得出B、G两点的瞬时速度大小,根据功能关系可得出正确表达式.
解答:解:(1)验证机械能守恒定律的实验时,由于空气阻力以及纸带与限位孔之间的摩擦,物体动能的增加量要小于重力势能的减少量,故ABD错误,C正确.
故答案为:小于;C.
(2)当物体自由下落时,第一、二两点之间的距离为:
故答案为:乙,丙,先释放重物,后接通电源(或释放纸带初速度不为零等).
(3)根据匀变速直线运动中,时间中点的瞬时速度等于该过程中的平均速度,得出B、G两点的瞬时速度大小分别为:
根据功能关系有:
即有:
故答案为:
点评:答实验问题的关键是明确实验原理,熟练应用物理基本规律,因此这点在平时训练中要重点加强.
练习册系列答案
相关题目
- QQ空间
- 新浪微博
- 百度搜藏
- 人人网
- 腾讯微博
- 开心网
- 腾讯朋友
- 百度空间
- 豆瓣网
- 搜狐微博
- MSN
- QQ收藏
- 我的淘宝
- 百度贴吧
- 搜狐白社会
- 更多...
百度分享
一个有一定厚度的圆盘,可以绕通过中心垂直于盘面的水平轴转动,用下面的方法测量它匀速转动时的角速度。
实验器材:电磁打点计时器、米尺、纸带、复写纸片。
实验步骤:
(1)如图1所示,将电磁打点计时器固定在桌面上,将纸带的一端穿过打点计时器的限位孔后,固定在待测圆盘的侧面上,使得圆盘转动时,纸带可以卷在圆盘侧面上。
(2)启动控制装置使圆盘转动,同时接通电源,打点计时器开始打点。
(3)经过一段时间,停止转动和打点,取下纸带,进行测量。
① 由已知量和测得量表示的角速度的表达式为ω= 。式中各量的意义是:
.
② 某次实验测得圆盘半径r=5.50×10-2m,得到纸带的一段如图2所示,求得角速度为 。
(1) (2)6.8/s。 |