题目内容

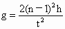
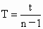
用滴水法可以测定重力加速度,方法是:在自来水龙头下面固定一块挡板A,使水一滴一滴断续地滴到挡板上如图1所示,仔细调节水龙头,使得耳朵刚好听到前一个水滴滴在挡板上的声音的同时,下一个水滴刚好开始下落.首先量出水龙头口离挡板的高度h,再用秒表计时,计时方法是:当听到某——水滴滴在挡板上的声音的同时,开启秒表开始计时,并数“1”,以后每听到一声水滴声,依次数“2,3…”,一直数到“n”时,按下秒表按钮停止时,读出秒表的示数为t.

(1)写出用上述测量方法计算重力加速度g的表达式:g=_____;(2)为了减小误差,改变h的数值,测出多组数据,记录在表格中(表中是水滴从水龙头口到A板所用的时间,即水滴在空中运动的时间),请在图2中所示的坐标纸上作出适当的图象,并利用图象求出重力加速度g的值:g=______(要求两位有效数字).

 

答案:略
解析:

(1)滴水的周期就是水滴自由下落的时间,所以得,

(2)提示:认真描点作图,求出斜率,可求得g

(3)解得


练习册系列答案
相关题目

违法和不良信息举报电话:027-86699610 举报邮箱:58377363@163.com

精英家教网