题目内容
一列沿x轴传播的简谐横波,其周期为T,某时刻的波形图象如图中的实线所示,再经t=0.2s的波形图如图中的虚线所示.则此列波的波速为多少?
【答案】分析:知道两个时刻的波形,根据波形的平移可知,若波向右传播,t=0.2s内传播的最短距离是
波长;若波向左传播,t=0.2s内传播的最短距离为
波长.列出波传播距离的通项,再求解波速.
解答:解:由图读出波长为λ=2m.
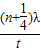
若波向右传播,t=0.2s内传播的最短距离是
x=(n+
)λ,n=0,1,2,…
波速为v=
=
=(10n+7.5)m/s.
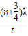
若波向左传播,t=0.2s内传播的最短距离是
x=(n+
)λ,n=0,1,2,…
波速为v=
=
=(10n+2.5)m/s.
答:此列波的波速为(10n+7.5)m/s或=(10n+2.5)m/s,n=0,1,2,3…
点评:本题是知道两个时刻的波形研究波传播的距离、波速、周期的问题,关键是理解波的周期性和双向性,运用数学知识列出通项式.
解答:解:由图读出波长为λ=2m.
若波向右传播,t=0.2s内传播的最短距离是
x=(n+
波速为v=
若波向左传播,t=0.2s内传播的最短距离是
x=(n+
波速为v=
答:此列波的波速为(10n+7.5)m/s或=(10n+2.5)m/s,n=0,1,2,3…
点评:本题是知道两个时刻的波形研究波传播的距离、波速、周期的问题,关键是理解波的周期性和双向性,运用数学知识列出通项式.
练习册系列答案
相关题目
| A、此波一定沿x轴正方向传播 | B、波速可能为1.5m/s | C、波的周期可能为1.6s | D、t1时刻质点A正向y轴正方向运动 |