题目内容
A.卫星在同步轨道Ⅱ上的运行速度大于7.9km/s
B.卫星从轨道Ⅰ经过Q时的加速度大于它从轨道Ⅱ经过Q时的加速度
C.在轨道Ⅰ上,卫星在P点的向心加速度大于它在Q点的向心加速度
D.卫星在Q点通过加速实现由轨道Ⅰ进入轨道Ⅱ
【答案】分析:了解同步卫星的特点和第一宇宙速度的含义.根据万有引力提供向心力解题.
当万有引力刚好提供卫星所需向心力时 卫星正好可以做匀速圆周运动
1.若是供大于需 则卫星做逐渐靠近圆心的运动
2.若是供小于需 则卫星做逐渐远离圆心的运动
解答:解:A、7.9km/s即第一宇宙速度是近地卫星的环绕速度,也是最大的圆周运动的环绕速度.而同步卫星的轨道半径要大于近地卫星的轨道半径,根据v的表达式可以发现,同步卫星运行的线速度一定小于第一宇宙速度,故A错误.
B、Q点到地球的距离一定,万有引力就一定,根据牛顿第二定律,卫星经过Q点时加速度一定.故B错误.
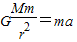
C、根据
得:a=
,而轨道Ⅰ上Q到地球的距离小于轨道Ⅰ上Q到地球的距离,所以卫星从轨道Ⅰ经过Q时的加速度大于它从轨道Ⅱ经过Q时的加速度.故C正确.
D、从椭圆轨道Ⅰ到同步轨道Ⅱ,卫星在Q点是做逐渐远离圆心的运动,要实现这个运动必须卫星所需向心力大于万有引力,所以应给卫星加速,增加所需的向心力.所以卫星在Q点通过加速实现由轨道Ⅰ进入轨道Ⅱ.故D正确.
故选CD.
点评:知道第一宇宙速度的特点.卫星变轨也就是近心运动或离心运动,根据提供的万有引力和所需的向心力关系确定.
当万有引力刚好提供卫星所需向心力时 卫星正好可以做匀速圆周运动
1.若是供大于需 则卫星做逐渐靠近圆心的运动
2.若是供小于需 则卫星做逐渐远离圆心的运动
解答:解:A、7.9km/s即第一宇宙速度是近地卫星的环绕速度,也是最大的圆周运动的环绕速度.而同步卫星的轨道半径要大于近地卫星的轨道半径,根据v的表达式可以发现,同步卫星运行的线速度一定小于第一宇宙速度,故A错误.
B、Q点到地球的距离一定,万有引力就一定,根据牛顿第二定律,卫星经过Q点时加速度一定.故B错误.
C、根据
D、从椭圆轨道Ⅰ到同步轨道Ⅱ,卫星在Q点是做逐渐远离圆心的运动,要实现这个运动必须卫星所需向心力大于万有引力,所以应给卫星加速,增加所需的向心力.所以卫星在Q点通过加速实现由轨道Ⅰ进入轨道Ⅱ.故D正确.
故选CD.
点评:知道第一宇宙速度的特点.卫星变轨也就是近心运动或离心运动,根据提供的万有引力和所需的向心力关系确定.
练习册系列答案
相关题目
| A、该卫星的发射速度必定大于11.2 km/s | B、卫星在同步轨道II上的运行速度大于7.9 km/s | C、在轨道I上,卫星在P点的速度大于在Q点的速度 | D、卫星在Q点通过加速实现由轨道I进入轨道II |
| A、该卫星需在Q点点火加速才能进入同步轨道Ⅱ | B、卫星在同步轨道II上的运行速度大于在轨道I上Q点的速度 | C、卫星在轨道I上P点的速度小于在轨道Ⅱ上的速度 | D、如果要把该同步卫星回收且在P点着陆可在轨道Ⅱ上的Q点通过点火减速实现 |