题目内容
完成下列关于“验证机械能守恒定律”实验的有关问题:(1)在验证机械能守恒定律时,如果以
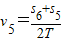
(2)在做“验证机械能守恒定律”的实验时,用打点计时器打出纸带如图所示,其中A点为打下的第一个点,0、1、2…为连续的计数点.现测得两相邻计数点之间的距离分别为s1、s2、s3、s4、s5、s6,已知相邻计数点间的打点时间间隔均为T.根据纸带测量出的距离及打点的时间间隔,可以求出此实验过程中重锤下落运动的加速度大小表达式为______(逐差法),在打5号计数点时,纸带运动的瞬时速度大小的表达式为______.
【答案】分析:(1)根据机械能守恒的表达式写出
与h的函数关系式,即可明确斜率的含义;
(2)利用逐差法可以求出重锤的加速度表达式,根据在匀变速直线运动中,中间时刻的瞬时速度等于该过程中的平均速度可以求出某时刻的瞬时速度.
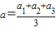
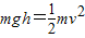
解答:解:(1)物体下落时初速度为零,根据机械能守恒可知:
,即
,故若以
为纵轴,以h为横轴,图线是过原点的直线,其斜率大小等于重力加速度.
故答案为:重力加速度g.
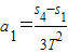
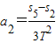
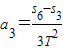
(2)根据逐差法有:


=
根据匀变速直线运动的规律可知打5号计数点时速度大小为:

故答案为:
,
.
点评:本题考查了“验证机械能守恒定律”中的数据处理,注意有关数学知识和匀变速直线运动规律、推论的应用.
(2)利用逐差法可以求出重锤的加速度表达式,根据在匀变速直线运动中,中间时刻的瞬时速度等于该过程中的平均速度可以求出某时刻的瞬时速度.
解答:解:(1)物体下落时初速度为零,根据机械能守恒可知:
故答案为:重力加速度g.
(2)根据逐差法有:
根据匀变速直线运动的规律可知打5号计数点时速度大小为:
故答案为:
点评:本题考查了“验证机械能守恒定律”中的数据处理,注意有关数学知识和匀变速直线运动规律、推论的应用.
练习册系列答案
相关题目