题目内容
以初速为v,加速度为a作匀加速直线运动的物体,若要使它的速度增加到初速度的n倍,则物体经过的位移为( )A.
B.
C.
D.
【答案】分析:根据速度位移公式v2-v2=2ax,求出经过的位移.
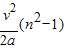
解答:解:末速度v=nv,根据速度位移公式v2-v2=2ax得,x=
=
=
.故A正确,B、C、D错误.
故选A.
点评:解决本题的关键掌握速度位移公式v2-v2=2ax.
解答:解:末速度v=nv,根据速度位移公式v2-v2=2ax得,x=
故选A.
点评:解决本题的关键掌握速度位移公式v2-v2=2ax.
练习册系列答案
相关题目