题目内容
一小球从斜面顶端由静止开始做匀加速直线运动,经过2s到达斜面中点,那么物体滑到斜面底端的总时间为________s.
答案:略
解析:
解析:
|
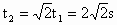
设斜面长为 2x,则 |
练习册系列答案
相关题目
题目内容
一小球从斜面顶端由静止开始做匀加速直线运动,经过2s到达斜面中点,那么物体滑到斜面底端的总时间为________s.
|
设斜面长为 2x,则 |