题目内容
如图所示为理想变压器,它的初级线圈接在交流电源上,次级线圈上接有一个标有“10V 100W”的灯泡.已知变压器初、次级线圈匝数之比为20:1,那么灯泡正常工作时,图中的电压表读数为多大?电流表读数又为多大?
【答案】分析:理想的变压器,输出功率与输入功率相等,变压器的原副线圈的电压与匝数成正比,电流与匝数成反比.
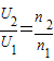
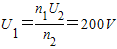
解答:解:由公式
得
即电压表读数为200V
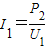
因理想变压器的输出功率与输入功率相等P2=P1
所以

即电流表读数为0.5A
答:电压表读数为200V;电流表读数又为0.5A.
点评:理想变压器是理想化模型,一是不计线圈内阻;二是没有出现漏磁现象.输入电压决定输出电压,而输出功率决定输入功率.
解答:解:由公式
得
即电压表读数为200V
因理想变压器的输出功率与输入功率相等P2=P1
所以
即电流表读数为0.5A
答:电压表读数为200V;电流表读数又为0.5A.
点评:理想变压器是理想化模型,一是不计线圈内阻;二是没有出现漏磁现象.输入电压决定输出电压,而输出功率决定输入功率.
练习册系列答案
相关题目