题目内容
用波长为660nm的红光做双缝干涉实验,相邻两亮条纹间距为4.8nm,①如果实验装置不变,改用波长为440nm的紫光,相邻两亮条纹间距为多少?
②如果相邻两亮条纹间距是4nm,则实验所用单色光波长为多少?
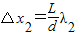
【答案】分析:①根据双缝干涉实验条纹间距公式
列式求解即可;
②同样根据双缝干涉实验条纹间距公式
列式求解.
解答:解:①根据双缝干涉实验条纹间距公式
,有:


故

②根据双缝干涉实验条纹间距公式
,有:


故

答:①如果实验装置不变,改用波长为440nm的紫光,相邻两亮条纹间距为3.2nm;
②如果相邻两亮条纹间距是4nm,则实验所用单色光波长为550nm.
点评:本题关键能够根据双缝干涉实验条纹间距公式
列式求解,基础题.
②同样根据双缝干涉实验条纹间距公式
解答:解:①根据双缝干涉实验条纹间距公式
故
②根据双缝干涉实验条纹间距公式
故
答:①如果实验装置不变,改用波长为440nm的紫光,相邻两亮条纹间距为3.2nm;
②如果相邻两亮条纹间距是4nm,则实验所用单色光波长为550nm.
点评:本题关键能够根据双缝干涉实验条纹间距公式
练习册系列答案
相关题目