题目内容

如图所示,一辆总质量为M的车静止在光滑水平面上。车右壁固定着一个发射装置,装置内共有n粒质量为m的子弹。车左壁固定有一砂袋,砂袋离装置内子弹的距离为d。启动发射装置的开关,将子弹一粒一粒断续水平发射出去,最后子弹都陷入砂袋中。求停止发射子弹后车总共移动的距离。

答案:
解析:

答案:ns=n

在子弹发射过程中,子弹与车组成的系统动量守恒,因此子弹射出去后,车要产生向后的速度。在子弹陷入砂袋后,系统恢复静止状态。最后n粒质量为m的子弹都从车的右侧转移到车的左侧。

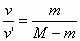
设子弹飞行速度为v’,车的反冲速度为v,则满足mv’=(M-m)v,因此

子弹与车运动相同的时间t后同时停止,设子弹移动的距离为s’,车移动的距离为s,则

又根据如图所示的几何关系,可知s+s’=d,运用合比定理可解出车移动的距离

s=

共发射n颗子弹,因此车移动的总距离为ns=n


练习册系列答案
相关题目

违法和不良信息举报电话:027-86699610 举报邮箱:58377363@163.com

精英家教网