题目内容

如图,M、N和P是以MN为直径的半圈弧上的三点,O点为半圆弧的圆心,∠MOP=60°.电荷量相等、符号相反的两个点电荷分别置于M、N两点,这时O点电场强度的大小为E1;若将N点处的点电荷移至P点,则O点的场场强大小变为E2,E1与E2之比为( )
A.1:2
B.2:1
C.
D.
【答案】分析:由电场的叠加可知各点电荷单独在O点形成的场强大小,移动之后电荷距O点的距离不变,故电场强度大小不变,则由矢量合成的方向可得出移动之后的合电场;即可求得比值.
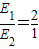
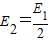
解答:解:依题意,每个点电荷在O点产生的场强为,则当N点处的点电荷移至P点时,O点场强如图所示,合场强大小为,则,B正确.
故选B.
点评:电场强度为矢量,在求合场强时应先分别求得各电荷在O点的场强再由矢量的合成方法-平行四边形求得总的场强.
练习册系列答案
相关题目

违法和不良信息举报电话:027-86699610 举报邮箱:58377363@163.com

精英家教网