题目内容
“神舟”六号载人飞船在空中环绕地球做匀速圆周运动,某次经过赤道的正上空时,对应的经度为θ1(实际为西经157.5°),飞船绕地球转一圈后,又经过赤道的正上空,此时对应的经度为θ2(实际为西经180°).已知地球半径为R,地球表面的重力加速度为g,地球自转的周期为T.求飞船运行的圆周轨道离地面高度h的表达式.(用θ1、θ2、T、g和R表示).
【答案】分析:根据题意求出神舟”六号载人飞船绕地球做圆周运动的周期,飞船绕地球做圆周运动的向心力由地球对它的万有引力提供,由牛顿第二定律列方程,可以求出飞船的轨道半径,然后求出飞船距地面的高度.
解答:解:飞船转一周,地球转动△θ=θ2-θ1,
飞船绕地球做圆周运动的周期T=
T=
T ①,
设地球质量为M,飞船质量为m,飞船轨道半径为r,
由牛顿第二定律得:
=m
r ②,
对地球表面上的物体m,有mg=G
③,
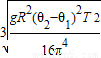
由①②③解得:r=
,
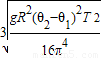
则飞船运行的圆周轨道离地面高度h=r-R=
-R;
答:飞船运行的圆周轨道离地面高度
-R.
点评:本题考查了万有引力定律的应用,万有引力提供天体做圆周运动所需的向心力,忽略地球自转的影响,地球表面的物体受到的重力等于地球对它的万有引力,注意“黄金代换”的应用,这是正确解题的关键.
解答:解:飞船转一周,地球转动△θ=θ2-θ1,
飞船绕地球做圆周运动的周期T=
设地球质量为M,飞船质量为m,飞船轨道半径为r,
由牛顿第二定律得:
对地球表面上的物体m,有mg=G
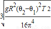
由①②③解得:r=
则飞船运行的圆周轨道离地面高度h=r-R=
答:飞船运行的圆周轨道离地面高度
点评:本题考查了万有引力定律的应用,万有引力提供天体做圆周运动所需的向心力,忽略地球自转的影响,地球表面的物体受到的重力等于地球对它的万有引力,注意“黄金代换”的应用,这是正确解题的关键.
练习册系列答案
相关题目