题目内容

甲、乙两物体分别做匀加速和匀减速直线运动,已知乙的初速度是甲的初速度的2.5倍,且甲的加速度大小是乙的加速度大小的2倍,经过4 s,两者的速度均达到8 m/s,则两者的初速度分别为多大?两者的加速度分别为多大?

答案:
解析:

  答案:4 m/s 10 m/s 1 m/s2 0.5 m/s2

  解析:对甲、乙两物体分别应用匀变速直线运动速度公式,有:v=v+at,v=v-at,又v=2.5v,a=2a,可得甲、乙两物体的初速度分别为:

  vm/s=4 m/s,vm/s=10 m/s

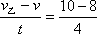
  甲、乙两物体的加速度大小分别为:

  am/s2=1 m/s2

  am/s2=0.5 m/s2


提示:

注意加速度的正、负号及两者之间的联系.当问题涉及多个物体的运动时,除了对每一个物体进行运动状态的分析,列出相应的运动学方程外,还需找出它们之间的联系,列出必要的辅助方程,组成方程组求解.


练习册系列答案
相关题目

违法和不良信息举报电话:027-86699610 举报邮箱:58377363@163.com

精英家教网