题目内容
氢原子的能级是氢原子处于各个定态时的能量值,它包括氢原子系统的电势能和电子在轨道上运动的动能,氢原子的电子由外层轨道跃迁到内层轨道时( )A.氢原子的能量减小,电子的动能增加
B.氢原子的能量增加,电子的动能增加
C.氢原子的能量减小,电子的动能减小
D.氢原子的能量增加,电子的动能减小
【答案】分析:电子绕核运动时,半径减小,电场力做正功,势能减小,总能量减小;根据库仑力提供向心力可分析动能变化;和卫星绕地球运动类似.
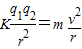
解答:解:电子由外层轨道跃迁到内层轨道时,放出光子,总能量减小;根据
,可知半径越小,动能越大.故BCD错误,A正确.
故选A.
点评:电子绕核运动的规律和卫星绕地球运动规律类似,在学习时可以类比进行学习,加强理解.
解答:解:电子由外层轨道跃迁到内层轨道时,放出光子,总能量减小;根据
故选A.
点评:电子绕核运动的规律和卫星绕地球运动规律类似,在学习时可以类比进行学习,加强理解.
练习册系列答案
相关题目