题目内容

火车沿平直铁路匀加速前进,该列车匀加速运动的加速度为0.6m/s2,车头通过某一路标时速度6m/s,当车尾通过该路标时速度变成18m/s,则火车的长度为______m.
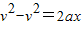
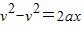
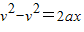
【答案】分析:根据匀变速直线运动的速度位移公式去求解火车的长度.
解答:解:由得,
故答案为:240m
点评:解决本题的关键掌握匀变速直线运动的速度位移公式
练习册系列答案
相关题目

违法和不良信息举报电话:027-86699610 举报邮箱:58377363@163.com

精英家教网