ÌâÄ¿ÄÚÈÝ

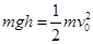
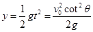
£¨£±2·Ö£©Ò»Í¬Ñ§ÏëÉè¼ÆÒ»¸ö¹ìµÀÍæ¾ß£¬ÆäÉèÏëÊǽ«Ò»¹â»¬µÄÇã½ÇΪ¦ÈÐ±Ãæ¹ìµÀºÍÒ»°ë¾¶ÎªrµÄ¹â»¬°ëÔ²»¡¹ìµÀÁ½¹ìµÀƽ»¬ÎÞ·ìÁ¬½Ó£¬°ëÔ²»¡¹ìµÀ×î¸ßµãºÍ×îµÍµãÔÚͬһÊúÖ±ÏßÉÏ£¬ÔÚ¹ìµÀÁ¬½Ó´¦ÎÞÄÜÁ¿Ëðʧ£¬ÈÃһСÇò´ÓÐ±ÃæÉÏijһλÖÃÓɾ²Ö¹ÊÍ·Å£¬ÑØÐ±Ãæ¹ìµÀºÍ°ëÔ²»¡¹ìµÀÔ˶¯£¬¾­¹ýÔ²»¡µÄ¶¥µãˮƽÅ׳ö²¢´¹Ö±ÂäÔÚÐ±ÃæÉÏ£¬ÈçͼËùʾ£¬Èç¹ûËûµÄÏë·¨¿ÉÐУ¬ÔòÐ±ÃæÇã½Ç¦ÈÓ¦Âú×ãʲôÌõ¼þ£¿ÔÚÂú×ãÌõ¼þµÄÇé¿öÏ£¬Ð¡ÇòÊÍ·ÅλÖþàÐ±Ãæµ×¶Ë¸ßhΪ£¿

 

 

¡¾´ð°¸¡¿

»ò   

¡¾½âÎö¡¿

ÊÔÌâ·ÖÎö£ºÉèСÇò´ÓÔ²»¡¶¥µãÒÔËÙ¶ÈÅ׳ö£¬¾­¹ýʱ¼äÃë´¹Ö±ÂäÔÚÐ±ÃæÉÏ£¬Ð±ÃæµÄÇã½ÇΪ£®ÈçͼËùʾ

Ôò£º          £¨£±·Ö£©

           £¨£±·Ö£©

        £¨£±·Ö£©

         £¨1·Ö£©

         £¨£±·Ö£©

      £¨£±·Ö£©   

  »ò         £¨£±·Ö£©

   ¼´£º   »ò           £¨1·Ö£©

ËùÒÔ£¬µ±Ð±Ãæ½ÇÂú×ã»ò ʱ£¬ÆäÉè¼ÆÊÇ¿ÉÐеģ®

µ±Ð¡ÇòÔÚÐ±ÃæÉÏÔ˶¯µ½ÓëÔ²»¡¶¥¶ËµÈ¸ßλÖÃAµãʱ£¬Ð¡ÇòµÄËÙ¶ÈΪ£®

Éè´ËʱСÇòÏÂÂä¸ß¶ÈΪ£¬¸ù¾Ý¶¯Äܶ¨Àí£¬

         £¨1·Ö£©

         £¨1·Ö£©

ËùÒÔ£¬Ð¡ÇòÏ»¬µÄ¸ß¶È¾àÐ±Ãæµ×¶Ë

»ò         £¨2·Ö£©

¿¼µã£º±¾Ì⿼²é¶ÔƽÅ×Ô˶¯µÄÓ¦Óᢶ¯Äܶ¨ÀíµÄÓ¦Óá£

 

Á·Ï°²áϵÁдð°¸
Ïà¹ØÌâÄ¿
£¨2009?ÄÏ»ãÇø¶þÄ££©Ñ§Ï°ÁË·¨À­µÚµç´Å¸ÐÓ¦¶¨ÂÉE¡Ø
¡÷§æ
¡÷t
ºó£¬ÎªÁ˶¨Á¿ÑéÖ¤¸ÐÓ¦µç¶¯ÊÆEÓëʱ¼ä¡÷t³É·´±È£¬Ä³Ð¡×éͬѧÉè¼ÆÁËÈçͼËùʾµÄÒ»¸öʵÑé×°ÖãºÏßȦºÍ¹âµçÃÅ´«¸ÐÆ÷¹Ì¶¨ÔÚˮƽ¹â»¬¹ìµÀÉÏ£¬Ç¿´ÅÌúºÍµ²¹âƬ¹Ì¶¨ÔÚÔ˶¯µÄС³µÉÏ£®Ã¿µ±Ð¡³µÔÚ¹ìµÀÉÏÔ˶¯¾­¹ý¹âµçÃÅʱ£¬¹âµçÃÅ»á¼Ç¼Ïµ²¹âƬµÄµ²¹âʱ¼ä¡÷t£¬Í¬Ê±´¥·¢½ÓÔÚÏßȦÁ½¶ËµÄµçѹ´«¸ÐÆ÷¼Ç¼ÏÂÔÚÕâ¶Îʱ¼äÄÚÏßȦÖвúÉúµÄ¸ÐÓ¦µç¶¯ÊÆE£®ÀûÓÃС³µÄ©¶ËµÄµ¯»É½«Ð¡³µÒÔ²»Í¬µÄËÙ¶È´Ó¹ìµÀµÄ×îÓҶ˵¯³ö£¬¾ÍÄܵõ½Ò»ÏµÁеĸÐÓ¦µç¶¯ÊÆEºÍµ²¹âʱ¼ä¡÷t£®

ÔÚÒ»´ÎʵÑéÖеõ½µÄÊý¾ÝÈçÏÂ±í£º
     ´ÎÊý
²âÁ¿Öµ
1 2 3 4 5 6 7 8
E/V 0.116 0.136 0.170 0.191 0.215 0.277 0.292 0.329
¡÷t/¡Á10-3s 8.206 7.486 6.286 5.614 5.340 4.462 3.980 3.646
£¨1£©¹Û²ìºÍ·ÖÎö¸ÃʵÑé×°Öÿɿ´³ö£¬ÔÚʵÑéÖУ¬Ã¿´Î²âÁ¿µÄ¡÷tʱ¼äÄÚ£¬´ÅÌúÏà¶ÔÏßȦÔ˶¯µÄ¾àÀë¶¼
Ïàͬ
Ïàͬ
£¨Ñ¡Ìî¡°Ïàͬ¡±»ò¡°²»Í¬¡±£©£¬´Ó¶øÊµÏÖÁË¿ØÖÆ
ͨ¹ýÏßȦµÄ´ÅͨÁ¿µÄ±ä»¯Á¿
ͨ¹ýÏßȦµÄ´ÅͨÁ¿µÄ±ä»¯Á¿
²»±ä£»
£¨2£©Ôڵõ½ÉÏÊö±í¸ñÖеÄÊý¾ÝÖ®ºó£¬ÎªÁËÑéÖ¤EÓë¡÷t³É·´±È£¬ËûÃÇÏë³öÁ½ÖÖ°ì·¨´¦ÀíÊý¾Ý£ºµÚÒ»ÖÖÊǼÆËã·¨£ºËã³ö
¸ÐÓ¦µç¶¯ÊÆEºÍµ²¹âʱ¼ä¡÷tµÄ³Ë»ý
¸ÐÓ¦µç¶¯ÊÆEºÍµ²¹âʱ¼ä¡÷tµÄ³Ë»ý
£¬Èô¸ÃÊý¾Ý»ù±¾ÏàµÈ£¬ÔòÑéÖ¤ÁËEÓë¡÷t³É·´±È£»µÚ¶þÖÖÊÇ×÷ͼ·¨£ºÔÚÖ±½Ç×ø±êϵÖÐ×÷
¸ÐÓ¦µç¶¯ÊÆEÓëµ²¹âʱ¼äµÄµ¹Êý
1
¡÷t
¸ÐÓ¦µç¶¯ÊÆEÓëµ²¹âʱ¼äµÄµ¹Êý
1
¡÷t
_¹ØÏµÍ¼Ïߣ¬ÈôͼÏßÊÇ»ù±¾¹ý×ø±êÔ­µãµÄÇãбֱÏߣ¬ÔòÒ²¿ÉÑéÖ¤EÓë¡÷t³É·´±È£®
ѧÁË·¨À­µÚµç´Å¸ÐÓ¦¶¨ÂÉE¡Ø ºó£¬ÎªÁ˶¨Á¿ÑéÖ¤¸ÐÓ¦µç¶¯ÊÆEÓëʱ¼ä¡÷t³É·´±È£¬Ä³Ð¡×éͬѧÉè¼ÆÁËÈçËùʾµÄÒ»¸öʵÑé×°ÖãºÏßȦºÍ¹âµçÃÅ´«¸ÐÆ÷¹Ì¶¨ÔÚˮƽ¹â»¬¹ìµÀÉÏ£¬Ç¿´ÅÌúºÍµ²¹âƬ¹Ì¶¨ÔÚÔ˶¯µÄС³µÉÏ¡£Ã¿µ±Ð¡³µÔÚ¹ìµÀÉÏÔ˶¯¾­¹ý¹âµçÃÅʱ£¬¹âµçÃÅ»á¼Ç¼Ïµ²¹âƬµÄµ²¹âʱ¼ä¡÷t£¬Í¬Ê±´¥·¢½ÓÔÚÏßȦÁ½¶ËµÄµçѹ´«¸ÐÆ÷¼Ç¼ÏÂÔÚÕâ¶Îʱ¼äÄÚÏßȦÖвúÉúµÄ¸ÐÓ¦µç¶¯ÊÆE¡£ÀûÓÃС³µÄ©¶ËµÄµ¯»É½«Ð¡³µÒÔ²»Í¬µÄËÙ¶È´Ó¹ìµÀµÄ×îÓҶ˵¯³ö£¬¾ÍÄܵõ½Ò»ÏµÁеĸÐÓ¦µç¶¯ÊÆEºÍµ²¹âʱ¼ä¡÷t¡£
ÔÚÒ»´ÎʵÑéÖеõ½µÄÊý¾ÝÈçÏÂ±í£º
     ´ÎÊý
²âÁ¿Öµ
1
2
3
4
5
6
7
8
E/V
0.116

0.136

0.170

0.191

0.215

0.277

0.292

0.329

¡÷t/¡Á10-3s
8.206

7.486

6.286

5.614

5.340

4.462

3.980

3.646

£¨1£©¹Û²ìºÍ·ÖÎö¸ÃʵÑé×°Öÿɿ´³ö£¬ÔÚʵÑéÖУ¬Ã¿´Î²âÁ¿µÄ¡÷tʱ¼äÄÚ£¬´ÅÌúÏà¶ÔÏßȦÔ˶¯µÄ¾àÀë¶¼__________(Ñ¡Ìî¡°Ïàͬ¡±»ò¡°²»Í¬¡±)£¬´Ó¶øÊµÏÖÁË¿ØÖÆ__________²»±ä£»
£¨2£©Ôڵõ½ÉÏÊö±í¸ñÖеÄÊý¾ÝÖ®ºó£¬ÎªÁËÑéÖ¤EÓë¡÷t³É·´±È£¬ËûÃÇÏë³öÁ½ÖÖ°ì·¨´¦ÀíÊý¾Ý£ºµÚÒ»ÖÖÊǼÆËã·¨£ºËã³ö____________________£¬Èô¸ÃÊý¾Ý»ù±¾ÏàµÈ£¬ÔòÑéÖ¤ÁËEÓë¡÷t³É·´±È£»µÚ¶þÖÖÊÇ×÷ͼ·¨£ºÔÚÖ±½Ç×ø±êϵÖÐ×÷_________________¹ØÏµÍ¼Ïߣ¬ÈôͼÏßÊÇ»ù±¾¹ý×ø±êÔ­µãµÄÇãбֱÏߣ¬ÔòÒ²¿ÉÑéÖ¤EÓë¡÷t³É·´±È¡£

 


£¨08ÄêÉϺ£Â¬ÍåÄ£Ä⣩£¨8·Ö£©Ñ§ÁË·¨À­µÚµç´Å¸ÐÓ¦¶¨ÂÉE¡Ø  ºó£¬ÎªÁ˶¨Á¿ÑéÖ¤¸ÐÓ¦µç¶¯ÊÆEÓëʱ¼ä¡÷t³É·´±È£¬Ä³Ð¡×éͬѧÉè¼ÆÁËÈçͼ24ËùʾµÄÒ»¸öʵÑé×°ÖãºÏßȦºÍ¹âµçÃÅ´«¸ÐÆ÷¹Ì¶¨ÔÚˮƽ¹â»¬¹ìµÀÉÏ£¬Ç¿´ÅÌúºÍµ²¹âƬ¹Ì¶¨ÔÚÔ˶¯µÄС³µÉÏ¡£Ã¿µ±Ð¡³µÔÚ¹ìµÀÉÏÔ˶¯¾­¹ý¹âµçÃÅʱ£¬¹âµçÃÅ»á¼Ç¼Ïµ²¹âƬµÄµ²¹âʱ¼ä¡÷t£¬Í¬Ê±´¥·¢½ÓÔÚÏßȦÁ½¶ËµÄµçѹ´«¸ÐÆ÷¼Ç¼ÏÂÔÚÕâ¶Îʱ¼äÄÚÏßȦÖвúÉúµÄ¸ÐÓ¦µç¶¯ÊÆE¡£ÀûÓÃС³µÄ©¶ËµÄµ¯»É½«Ð¡³µÒÔ²»Í¬µÄËÙ¶È´Ó¹ìµÀµÄ×îÓҶ˵¯³ö£¬¾ÍÄܵõ½Ò»ÏµÁеĸÐÓ¦µç¶¯ÊÆEºÍµ²¹âʱ¼ä¡÷t¡£

ÔÚÒ»´ÎʵÑéÖеõ½µÄÊý¾ÝÈçÏÂ±í£º

 

     ´ÎÊý

²âÁ¿Öµ

1

2

3

4

5

6

7

8

E/V

0.116

0.136

0.170

0.191

0.215

0.277

0.292

0.329

¡÷t/¡Á10-3s

8.206

7.486

6.286

5.614

5.340

4.462

3.980

3.646

 

 

 

 

 

 

£¨1£©¹Û²ìºÍ·ÖÎö¸ÃʵÑé×°Öÿɿ´³ö£¬ÔÚʵÑéÖУ¬Ã¿´Î²âÁ¿µÄ¡÷tʱ¼äÄÚ£¬´ÅÌúÏà¶ÔÏßȦÔ˶¯µÄ¾àÀë¶¼__________(Ñ¡Ìî¡°Ïàͬ¡±»ò¡°²»Í¬¡±)£¬´Ó¶øÊµÏÖÁË¿ØÖÆ__________²»±ä£»

£¨2£©Ôڵõ½ÉÏÊö±í¸ñÖеÄÊý¾ÝÖ®ºó£¬ÎªÁËÑéÖ¤EÓë¡÷t³É·´±È£¬ËûÃÇÏë³öÁ½ÖÖ°ì·¨´¦ÀíÊý¾Ý£ºµÚÒ»ÖÖÊǼÆËã·¨£ºËã³ö____________________£¬Èô¸ÃÊý¾Ý»ù±¾ÏàµÈ£¬ÔòÑéÖ¤ÁËEÓë¡÷t³É·´±È£»µÚ¶þÖÖÊÇ×÷ͼ·¨£ºÔÚÖ±½Ç×ø±êϵÖÐ×÷_________________¹ØÏµÍ¼Ïߣ¬ÈôͼÏßÊÇ»ù±¾¹ý×ø±êÔ­µãµÄÇãбֱÏߣ¬ÔòÒ²¿ÉÑéÖ¤EÓë¡÷t³É·´±È¡£

ѧϰÁË·¨À­µÚµç´Å¸ÐÓ¦¶¨ÂÉE¡Øºó£¬ÎªÁ˶¨Á¿ÑéÖ¤¸ÐÓ¦µç¶¯ÊÆEÓëʱ¼ä¡÷t³É·´±È£¬Ä³Ð¡×éͬѧÉè¼ÆÁËÈçͼËùʾµÄÒ»¸öʵÑé×°ÖãºÏßȦºÍ¹âµçÃÅ´«¸ÐÆ÷¹Ì¶¨ÔÚˮƽ¹â»¬¹ìµÀÉÏ£¬Ç¿´ÅÌúºÍµ²¹âƬ¹Ì¶¨ÔÚÔ˶¯µÄС³µÉÏ£®Ã¿µ±Ð¡³µÔÚ¹ìµÀÉÏÔ˶¯¾­¹ý¹âµçÃÅʱ£¬¹âµçÃÅ»á¼Ç¼Ïµ²¹âƬµÄµ²¹âʱ¼ä¡÷t£¬Í¬Ê±´¥·¢½ÓÔÚÏßȦÁ½¶ËµÄµçѹ´«¸ÐÆ÷¼Ç¼ÏÂÔÚÕâ¶Îʱ¼äÄÚÏßȦÖвúÉúµÄ¸ÐÓ¦µç¶¯ÊÆE£®ÀûÓÃС³µÄ©¶ËµÄµ¯»É½«Ð¡³µÒÔ²»Í¬µÄËÙ¶È´Ó¹ìµÀµÄ×îÓҶ˵¯³ö£¬¾ÍÄܵõ½Ò»ÏµÁеĸÐÓ¦µç¶¯ÊÆEºÍµ²¹âʱ¼ä¡÷t£®

ÔÚÒ»´ÎʵÑéÖеõ½µÄÊý¾ÝÈçÏÂ±í£º
     ´ÎÊý
²âÁ¿Öµ
12345678
E/V0.1160.1360.1700.1910.2150.2770.2920.329
¡÷t/×10-3s8.2067.4866.2865.6145.3404.4623.9803.646
£¨1£©¹Û²ìºÍ·ÖÎö¸ÃʵÑé×°Öÿɿ´³ö£¬ÔÚʵÑéÖУ¬Ã¿´Î²âÁ¿µÄ¡÷tʱ¼äÄÚ£¬´ÅÌúÏà¶ÔÏßȦÔ˶¯µÄ¾àÀë¶¼______£¨Ñ¡Ìî¡°Ïàͬ¡±»ò¡°²»Í¬¡±£©£¬´Ó¶øÊµÏÖÁË¿ØÖÆ______²»±ä£»
£¨2£©Ôڵõ½ÉÏÊö±í¸ñÖеÄÊý¾ÝÖ®ºó£¬ÎªÁËÑéÖ¤EÓë¡÷t³É·´±È£¬ËûÃÇÏë³öÁ½ÖÖ°ì·¨´¦ÀíÊý¾Ý£ºµÚÒ»ÖÖÊǼÆËã·¨£ºËã³ö______£¬Èô¸ÃÊý¾Ý»ù±¾ÏàµÈ£¬ÔòÑéÖ¤ÁËEÓë¡÷t³É·´±È£»µÚ¶þÖÖÊÇ×÷ͼ·¨£ºÔÚÖ±½Ç×ø±êϵÖÐ×÷_______¹ØÏµÍ¼Ïߣ¬ÈôͼÏßÊÇ»ù±¾¹ý×ø±êÔ­µãµÄÇãбֱÏߣ¬ÔòÒ²¿ÉÑéÖ¤EÓë¡÷t³É·´±È£®

Î¥·¨ºÍ²»Á¼ÐÅÏ¢¾Ù±¨µç»°£º027-86699610 ¾Ù±¨ÓÊÏ䣺58377363@163.com

¾«Ó¢¼Ò½ÌÍø