题目内容

从甲地向乙地发出频率为50 Hz的声波,若当波速为330 m/s时,在甲、乙两地间有若干个完整波形的波,当波速为340 m/s时,甲、乙两地间完整波形的波数减少了一个,则甲、乙两地相距多少米?

答案:224.4m
解析:

  本题主要考查了波长、频率、波速三者之间的关系及学生的空间想像能力,此题创新之处在于虽在同一介质中波速却发生了变化,有人认为这题有问题,其实不然,虽是同一介质,当温度发生变化时,波速也随之变化,

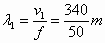
  由题意得两次波长分别为:

   

  设波速为330 m/s时,甲、乙两地间有n个完整波形.

  据题意有:(n-1)λ12

  所以

  所以甲、乙两地间距离为s=2=34×=224.4 m


练习册系列答案
相关题目

违法和不良信息举报电话:027-86699610 举报邮箱:58377363@163.com

精英家教网