题目内容

如图(a)所示,在x轴上的两点分别放有-Q和+4Q两个点电荷,位置坐标分别为0和1。图(b)是反映沿x轴电势分布情况的图线,正确是 (   )

 

 

【答案】

B

【解析】

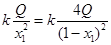
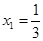
试题分析:顺着电场线方向电势降低,只要找出电场线的方向即可判断电势的变化情况.由于两个点电荷是异种电荷,设在x轴上某点x1处的合场强为零,即,解得(舍去),所以在的区间内电场方向向左,在的区间内电场方向向右,在的区间内电场方向向左,在的区间内电场方向向右,取无穷远处电势为零,由此可判断沿着x轴从左向右,电势先增加再减小,在处最大,故排除ACD选项,选项B正确.

考点:分析电势的变化可以根据顺着电场线方向电势降低判断,也可以根据电场力对正电荷做功的情况判断.

 

练习册系列答案
相关题目

违法和不良信息举报电话:027-86699610 举报邮箱:58377363@163.com

精英家教网