ÌâÄ¿ÄÚÈÝ

ÈçͼËùʾ£¬¹â»¬Ë®Æ½µØÃæÉÏÍ£×ÅÒ»Á¾Æ½°å³µ£¬ÆäÖÊÁ¿Îª2m£¬³¤ÎªL£¬³µÓÒ¶Ë£¨Aµã£©ÓÐÒ»¿é¾²Ö¹µÄÖÊÁ¿ÎªmµÄС½ðÊô¿é£®½ðÊô¿éÓë³µ¼äÓÐĦ²Á£¬ÒÔÖеãCΪ½ç£¬AC¶ÎÓëCB¶ÎĦ²ÁÒòÊý²»Í¬£®ÏÖ¸ø³µÊ©¼ÓÒ»¸öÏòÓÒµÄˮƽºãÁ¦£¬Ê¹³µÏòÓÒÔ˶¯£¬Í¬Ê±½ðÊô¿éÔÚ³µÉÏ¿ªÊ¼»¬¶¯£¬µ±½ðÊô¿é»¬µ½ÖеãCʱ£¬³·È¥Õâ¸öÁ¦£®ÒÑÖª³·È¥Á¦µÄ˲¼ä£¬½ðÊô¿éµÄËÙ¶ÈΪv£¬³µµÄËÙ¶ÈΪ2v£¬×îºó½ðÊô¿éÇ¡ºÃÍ£ÔÚ³µµÄ×ó¶Ë£¨Bµã£©£®Èç¹û½ðÊô¿éÓë³µµÄAC¶Î¼äµÄ¶¯Ä¦²ÁÒòÊýΪ¦Ì1£¬ÓëCB¶Î¼äµÄ¶¯Ä¦²ÁÒòÊýΪ¦Ì2£¬Çó¦Ì1Óë¦Ì2µÄ±ÈÖµ£®
¡¾´ð°¸¡¿·ÖÎö£º½ðÊô¿éÓÉA¡úC¹ý³ÌÖÐ×öÔȼÓËÙÔ˶¯£¬¸ù¾ÝÅ£¶ÙµÚ¶þ¶¨ÂÉÇó³ö¼ÓËÙ¶È£¬¸ù¾ÝÔ˶¯Ñ§»ù±¾¹«Ê½Çó³öÔÚBC¶ÎµÄ¼ÓËٶȺÍAC¶Î¼ÓËٶȵıÈÖµ£¬ÔÙ½áºÏÎ»ÒÆ¹ØÏµÇó³öAC¶Î¶¯Ä¦²ÁÒòËØµÄ±í´ïʽ£»´ÓС½ðÊô¿é»¬ÖÁ³µÖеãC¿ªÊ¼µ½Ð¡½ðÊô¿éÍ£ÔÚ³µµÄ×ó¶ËµÄ¹ý³ÌÖж¯Á¿Êغ㣬Çó³ö¹²Í¬ËÙ¶È£¬½ø¶øÇó³ö´Ë¹ý³ÌÖж¯ÄܵÄËðʧÁ¿£¬´Ó¶øÇó³öBCµãµÄ¶¯Ä¦²ÁÒòËØµÄ±í´ïʽ£¬½ø¶øÇó³ö±ÈÖµ¹ØÏµ£®
½â´ð£º½â£º½ðÊô¿éÓÉA¡úC¹ý³ÌÖÐ×öÔȼÓËÙÔ˶¯£¬¼ÓËÙ¶ÈΪ£º
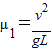
a1==       
Éè½ðÊô¿éÓÉAµ½´ïCÀúʱΪt1£¬ËÙ¶Èv=a1t1¡­¢Ù
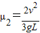
С³µ¼ÓËÙ¶Èa2=2a1=2¦Ì1g£®  
³µ´Ë¿ÌµÄËÙ¶È£º2v=a2t1¡­¢Ú
½ðÊô¿éÓëС³µÎ»ÒÆÖ®²î£ºs=-=£¬
¶øs=£¬
ËùÒÔ£º¡­¢Û
´ÓС½ðÊô¿é»¬ÖÁ³µÖеãC¿ªÊ¼µ½Ð¡½ðÊô¿éÍ£ÔÚ³µµÄ×ó¶Ë£¬ËüÓë³µÓй²Í¬ËÙ¶È£¬ÉèΪv£¬´Ë¹ý³ÌÖУ¬ÏµÍ³Ë®Æ½·½Ïò¶¯Á¿Êغ㣬ÓÐ
2m×2v+mv=£¨2m+m£©v£¬
µÃv=v£®                                  
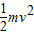
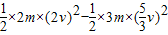
´Ë¹ý³ÌÖÐϵͳ¶¯ÄÜËðʧΪ=+£¬
½âµÃ£º¡­¢Ü
µÃ£º£®                                               
´ð£º¦Ì1Óë¦Ì2µÄ±ÈֵΪ3£º2£®
µãÆÀ£º±¾ÌâÖ÷Òª¿¼²éÁËÅ£¶ÙµÚ¶þ¶¨ÂÉ¡¢Ô˶¯Ñ§»ù±¾¹«Ê½¼°¶¯Á¿¶¨ÀíµÄÓ¦Óã¬ÒªÇóͬѧÃÇÄÜÕýÈ··ÖÎö½ðÊô¿éµÄÊÜÁ¦Çé¿ö£¬ÄѶÈÊÊÖУ®
Á·Ï°²áϵÁдð°¸
Ïà¹ØÌâÄ¿

Î¥·¨ºÍ²»Á¼ÐÅÏ¢¾Ù±¨µç»°£º027-86699610 ¾Ù±¨ÓÊÏ䣺58377363@163.com

¾«Ó¢¼Ò½ÌÍø