题目内容
如图是做“探究小车速度随时间变化的规律”的实验中打点计时器打出的纸带.纸带上面每打一点的时间间隔是0.02s,且每两个记数点间还有四个计时点未画出.已知S1=1.2cm,S2=2.4cm,S3=3.6cm,S4=4.8cm,则打第三个记数点对应的小车速度V3= m/s,小车运动的加速度a= m/s2.
【答案】分析:根据匀变速直线运动的推论公式△x=aT2可以求出加速度的大小,根据匀变速直线运动中时间中点的速度等于该过程中的平均速度,可以求出打纸带上3点时小车的瞬时速度大小.
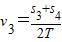
解答:解:根据匀变速直线运动中时间中点的速度等于该过程中的平均速度,纸带上面每打一点的时间间隔是0.02s,且每两个记数点间还有四个计时点未画出,T=0.1s.
=0.42m/s
根据匀变速直线运动的推论公式△x=aT2可以求出加速度的大小,
得:
s3-s1=2aT2
为了更加准确的求解加速度,我们对两个加速度取平均值
得:a=
即小车运动的加速度计算表达式为:a=
=1.2m/s2
故答案为:0.42,1.2
点评:利用匀变速直线的规律以及推论解答实验问题的能力,在平时练习中要加强基础知识的理解与应用,提高解决问题能力.
解答:解:根据匀变速直线运动中时间中点的速度等于该过程中的平均速度,纸带上面每打一点的时间间隔是0.02s,且每两个记数点间还有四个计时点未画出,T=0.1s.
根据匀变速直线运动的推论公式△x=aT2可以求出加速度的大小,
得:
s3-s1=2aT2
为了更加准确的求解加速度,我们对两个加速度取平均值
得:a=
即小车运动的加速度计算表达式为:a=
故答案为:0.42,1.2
点评:利用匀变速直线的规律以及推论解答实验问题的能力,在平时练习中要加强基础知识的理解与应用,提高解决问题能力.
练习册系列答案
相关题目