ÌâÄ¿ÄÚÈÝ

£¨1£©Ä³Í¬Ñ§ÔÚ×ö¡°ÀûÓõ¥°Ú²â¶¨ÖØÁ¦¼ÓËÙ¶È¡±µÄʵÑéÖУ¬Èç¹ûÒÑÖª°ÚÇòÖ±¾¶Îª2.00cm£¬Èÿ̶ȳߵÄÁãµã¶Ô×¼°ÚÏßµÄÐüµã£¬°ÚÏßÊúֱϴ¹£¬Èçͼ1¼×Ëùʾ£¬ÄÇô

£¨1£©µ¥°Ú°Ú³¤ÊÇ______cm£®Èç¹û²â¶¨ÁË40´ÎÈ«Õñ¶¯µÄʱ¼äÈçͼ1ÒÒÖÐÃë±íËùʾ£¬ÄÇôÃë±í¶ÁÊýÊÇ______s£¬µ¥°ÚµÄ°Ú¶¯ÖÜÆÚÊÇ______s£®
£¨2£©Èç¹ûËû²âµÃµÄgֵƫ´ó£¬¿ÉÄܵÄÔ­ÒòÊÇ______
A£®²â°ÚÏß³¤Ê±°ÚÏßÀ­µÃ¹ý½ô
B£®°ÚÏßÉ϶ËδÀι̵ØÏµÓÚÐüµã£¬Õñ¶¯ÖгöÏÖËɶ¯£¬°ÚÏß³¤¶ÈÔö¼ÓÁË
C£®¿ªÊ¼¼ÆÊ±Ê±£¬Ãë±í¹ý³Ù°´ÏÂ
D£®ÊµÑéÖÐÎó½«49´ÎÈ«Õñ¶¯¼ÆÎª50´Î
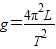
£¨3£©ÎªÁËÌá¸ßʵÑ龫¶È£¬ÔÚʵÑéÖпɸı伸´Î°Ú³¤l£¬²¢²â³öÏàÓ¦µÄÖÜÆÚT£¬´Ó¶øµÃ³öÒ»×é¶ÔÓ¦µÄlÓëTµÄÊý¾Ý£¬ÔÙÒÔlΪºá×ø±ê¡¢T2Ϊ×Ý×ø±ê½«ËùµÃÊý¾ÝÁ¬³ÉÖ±Ïߣ¬Èçͼ2£¬²¢ÇóµÃ¸ÃÖ±ÏßµÄбÂÊΪk£¬ÔòÖØÁ¦¼ÓËÙ¶Èg=______£®£¨ÓÃk±íʾ£©
¡¾´ð°¸¡¿·ÖÎö£º£¨1£©Á¿³ö°ÚÇòϱßÔµÓëÐü¹ÒµãµÄ¾àÀëºó¼õÈ¥°ë¾¶¼´¿ÉµÃµ½µ¥°ÚµÄ°Ú³¤£»Ãë±í¶ÁÊýÊÇ´óÅ̶ÁÊý¼ÓСÅ̶ÁÊý£¬³ýÒÔÈ«Õñ¶¯´ÎÊýµÃµ½ÖÜÆÚ£»
£¨2£©¸ù¾ÝÖÜÆÚ¹«Ê½µÃµ½ÖØÁ¦¼ÓËٶȵıí´ïʽºó½øÐÐÌÖÂÛ£»
£¨3£©Çó³öT2Óël¹ØÏµÍ¼Ïó½øÐзÖÎö¼´¿É£®
½â´ð£º½â£º£¨1£©°ÚÇòϱßÔµÓëÐü¹ÒµãµÄ¾àÀëΪ88.60cm£¬°ë¾¶1cm£¬¹Ê°Ú³¤Îª87.60cm£»
Ãë±í¶ÁÊýΪ£º60s+15.2s=75.2s£»
¹Êµ¥°ÚÖÜÆÚΪ£º£»
£¨2£©¸ù¾Ýµ¥°ÚÖÜÆÚ¹«Ê½£¬µÃµ½£¬¹Êgֵƫ´óµÄÔ­Òò¿ÉÄÜÊǰڳ¤²âÁ¿ÖµÆ«´ó»òÕßÖÜÆÚ²âÁ¿ÖµÆ«Ð¡£»
A¡¢²â°ÚÏß³¤Ê±°ÚÏßÀ­µÃ¹ý½ô£¬°Ú³¤²âÁ¿ÖµÆ«Ð¡£¬¹ÊA´íÎó£»
B¡¢°ÚÏßÉ϶ËδÀι̵ØÏµÓÚÐüµã£¬Õñ¶¯ÖгöÏÖËɶ¯£¬°ÚÏß³¤¶ÈÔö¼ÓÁË£¬¹Êµ¥°ÚÖÜÆÚ±ä³¤ÁË£¬Ïà¶ÔÓëÔ­À´µ¥°Ú£¬ÕýÈ·²âÁ¿ÖµÆ«´ó£¬»òÕßÏà¶ÔÓëе¥°Ú£¬°Ú³¤²âÁ¿ÖµÆ«Ð¡£¬¹Êg²âÁ¿ÖµÆ«Ð¡£¬¹ÊB´íÎó£»
C¡¢¿ªÊ¼¼ÆÊ±Ê±£¬Ãë±í¹ý³Ù°´Ï£¬ÖÜÆÚ²âÁ¿ÖµÆ«Ð¡£¬¹ÊÖØÁ¦¼ÓËÙ¶ÈÆ«´ó£¬¹ÊCÕýÈ·£»
D¡¢ÊµÑéÖÐÎó½«49´ÎÈ«Õñ¶¯¼ÆÎª50´Î£¬ÖÜÆÚ²âÁ¿ÖµÆ«Ð¡£¬¹ÊÖØÁ¦¼ÓËÙ¶ÈÆ«´ó£¬¹ÊDÕýÈ·£»
¹ÊÑ¡CD£®
£¨3£©¸ù¾Ýµ¥°ÚÖÜÆÚ¹«Ê½£¬ÓУ¬¹ÊT2Óël¹ØÏµÍ¼ÏóµÄбÂÊΪ£»
¹Ê´ð°¸Îª£º£¨1£©87.60 cm£¬75.2£¬1.88£»£¨2£©CD£» £¨3£©£®
µãÆÀ£º±¾Ìâ¹Ø¼ü»áÓÃÃë±íºÍ¿Ì¶È³ß¶ÁÊý£¬Ã÷ȷʵÑéÔ­ÀíºÍÎó²îÀ´Ô´£¬Òª½áºÏµ¥°ÚµÄÖÜÆÚ¹«Ê½ÁÐʽÇó½â£®
Á·Ï°²áϵÁдð°¸
Ïà¹ØÌâÄ¿
£¨1£©Ä³Í¬Ñ§ÓÃÈçͼËùʾµÄµç·ÑéÖ¤Àã´Î¶¨ÂÉ£¬ËûµÄʵÑé²½ÖèÓÐÒÅ©£¬ÊµÑé²½ÖèÈçÏÂ
¢ÙŪÇåÁ½ÏßȦµ¼ÏßµÄÈÆÏò£¬°Ñµç³Ø¡¢ÏßȦA¡¢»¬¶¯±ä×èÆ÷ºÍµç¼ü´®Áª×é³ÉÒ»¸öµç·£¬
¢Ú°ÑÁéÃôµçÁ÷¼ÆÀûÏßȦB×é³ÉÒ»¸öµç·£®
¢Û½ÓͨµçÔ´£¬¸øÏßȦAͨµç£¬²¢¼Ç¼ÏÂÏßȦAÖеĵçÁ÷·½Ïò£¬°ÑÏßȦA²åÈëÏßȦBÖУ¬Í£Ò»»áºóÔÙÈ¡³öÃ×£¬µ±ÏßȦAÕý²åÈëºÍÈ¡³öµÄ¹ý³ÌÖУ¬ÒÔ¼°Í£Ö¹Ô˶¯Ê±£®¹Û²ìµçÁ÷±íµÄÖ¸ÕëÓÐÎÞÆ«×ª£¬²¢¼ÇÏÂÖ¸ÕëÆ«×ªµÄ·½Ïò£®
¢Ü¸Ä±äÏßȦAÖеĵçÁ÷·½Ïò£®°´¢ÛÖØ¸´×öʵÑ飬¹Û²ìµçÁ÷±íµÄÖ¸¼ÆÓÐÎÞÆ«×ª£¬²¢¼Ç¼ÏÂÖ¸ÕëÆ«×ªµÄ·½Ïò£®
Çë¸ù¾ÝÉÏÊöʵÑé¼Ç¼À´ÑéÖ¤Àã´Î¶¨ÂÉ£¬·ÖÎöËûÔÚʵÑéÖÐÒÅ©ÁË
²éÃ÷µçÁ÷±íGÖ¸ÕëÆ«×ª·½Ïò¸úµçÁ÷·½ÏòµÄ¹ØÏµ
²éÃ÷µçÁ÷±íGÖ¸ÕëÆ«×ª·½Ïò¸úµçÁ÷·½ÏòµÄ¹ØÏµ
µÄÖØÒªÒ»²½£®
£¨2£©ÇëÄã¸ù¾ÝÈçͼÓõ¼Ïߣº½«ÈçͼÖеÄʵÎïͼÁ¬½ÓÆðÀ´

£¨3£©Í¼1ÖеÄA¡¢B·Ö±ðΪÁ½ÏßȦµÄ½ØÃæÍ¼£¬Èç¹ûBÏßȦÖвúÉúÈçͼ2Ëùʾ˳ʱÕë·½ÏòµÄ¸ÐÓ¦µçÁ÷£¬¿ÉÄÜÊÇÒòΪ£º
BC
BC
£®
A£®Òƶ¯»¬¶¯±ä×èÆ÷µÄ»¬¼ü£¬Ê¹AÏßȦÖÐ˳Õë·½ÏòµÄµçÁ÷Öð½¥Ôö´ó£®
B£®Í¨ÓÐ˳ʱÕë·½ÏòµçÁ÷µÄAÏßȦ£¬ÕýÔÚ´ÓBÏßȦÖÐÈ¡³ö£®
C£®½«Ìúо²åÈëͨÓÐÄæÊ±Õë·½ÏòµçÁ÷µÄAÏßȦÖУ®
D£®¶Ï¿ªµç¼ü£¬Ê¹AÏßȦÖеÄÄæÊ±Õë·½ÏòµÄµçÁ÷Ïûʧ£®

£¨1£©ÀûÓÃÓÍĤ·¨¹À²âÓÍËá·Ö×ӵĴóС£¬ÊµÑéÆ÷²ÄÓУºÅ¨¶ÈΪ0.05£¥£¨Ìå»ý·ÖÊý£©µÄÓÍËá¾Æ¾«ÈÜÒº¡¢×îС¿Ì¶ÈΪ0.1mlµÄÁ¿Í²¡¢Ê¢ÓÐÊÊÁ¿ÇåË®µÄ45¡Á50cm2dzÅÌ¡¢ðò×Ó·Û¡¢ÏðƤͷµÎ¹Ü¡¢²£Á§°å¡¢²Ê±Ê¡¢×ø±êÖ½¡£Ôò£º
¢ÙÏÂÃæ¸ø³öµÄʵÑé²½ÖèÖУ¬Õýȷ˳ÐòΪ£º          ¡£
A£®½«²£Á§°å·ÅÔÚdzÅÌÉÏ£¬Óòʱʽ«ÓÍËᱡĤµÄÐÎ×´»­ÔÚ²£Á§°åÉÏ­­­­­­­­­­­¡£
B£®Óõιܽ«Å¨¶ÈΪ0.05£¥ÓÍËá¾Æ¾«ÈÜÒºÒ»µÎÒ»µÎµØµÎÈëÁ¿Í²ÖУ¬¼ÇϵÎÈë1mlÓÍËá¾Æ¾«ÈÜҺʱµÄµÎÊýN
C£®½«»­ÓÐÓÍËᱡĤÂÖÀªµÄ²£Á§°å·ÅÔÚ×ø±êÖ½ÉÏ£¬ÒÔ×ø±êÖ½Éϱ߳¤Îª1cmµÄÕý·½ÐÎΪµ¥Î»£¬¼ÆËãÂÖÀªÄÚÕý·½ÐεĸöÊý£¬Ëã³öÓÍËᱡĤµÄÃæ»ýS
D£®½«ðò×Ó·Û¾ùÔȵØÈöÔÚdzÅÌÄÚË®ÃæÉÏ£¬ÓõιÜÎüȡŨ¶ÈΪ0£®05£¥µÄÓÍËá¾Æ¾«ÈÜÒº£¬´ÓµÍ´¦ÏòË®ÃæÖÐÑëÒ»µÎÒ»µÎµØµÎÈ룬ֱµ½ÓÍËᱡĤÓÐ×ã¹»´óµÄÃæ»ýÓÖ²»ÓëÆ÷±Ú½Ó´¥ÎªÖ¹£¬¼ÇϵÎÈëµÄµÎÊýn
¢Ú¸ÃʵÑé²âµÃµÄµ¥¸öÓÍËá·Ö×ÓµÄÖ±¾¶Ô¼Îª         £¨µ¥Î»£ºcm£©¡£
A£®      B£®     C£®     D£®
£¨2£©Ä³Í¬Ñ§×öÃè»æÐ¡µÆÅÝ£¨¶î¶¨µçѹΪ3.8V£¬¶î¶¨µçÁ÷Ϊ0.32A£©µÄ·ü°²ÌØÐÔÇúÏßʵÑ飬ʵÑéÊÒÌṩµÄʵÑéÆ÷²ÄÈçÏ£º£¨±¾ÊµÑéÒªÇóСµÆÅݵĵçѹ´ÓÁ㿪ʼµ÷ÖÁ¶î¶¨µçѹ£©
Ö±Á÷µçÔ´µÄµç¶¯ÊÆÎª4V£¨ÄÚ×è²»¼Æ£©¡¢  µçѹ±íV£¨Á¿³Ì4V£¬ÄÚ×èԼΪ5k¦¸£©¡¢
µçÁ÷±íA1£¨Á¿³Ì0.6A£¬ÄÚ×èԼΪ4¦¸£©¡¢ µçÁ÷±íA2£¨Á¿³Ì3A£¬ÄÚ×èԼΪ1¦¸£©¡¢
»¬¶¯±ä×èÆ÷R1£¨0µ½1000¦¸£¬0.5A£©¡¢   »¬¶¯±ä×èÆ÷R2£¨0µ½10¦¸£¬2A£©¡¢
¿ª¹Ø¡¢µ¼ÏßÈô¸É£®
¢ÙÈô¸ÃͬѧÎ󽫵çÁ÷±íºÍµçѹ±í½Ó³ÉÈçͼ¼×ËùʾµÄµç·£¬ÆäËû²¿·ÖÁ¬½ÓÕýÈ·£¬½ÓͨµçÔ´ºó£¬ÒÔÏÂ˵·¨ÕýÈ·µÄÊÇ£º__________

A£®Ð¡µÆÅݽ«·¢¹â        B£®Ð¡µÆÅݼ¸ºõ²»ÁÁ
C£®V±í²»»áÉÕ»µ        D£®A±í½«»áÉÕ»µ
¢ÚÔÚÕýÈ·µÄµç·ÖУ¬µçÁ÷±íÓ¦¸ÃÑ¡_______£¬»¬¶¯±ä×èÆ÷Ó¦ ¸ÃÑ¡________¡£Çë°ÑͼÒÒÖÐµÄÆ÷²Ä¸ù¾ÝʵÑéÒªÇóÁ¬½Ó³ÉʵÑéµç·¡£
¢Û¸Ãͬѧ°´ÕÕÕýÈ·µÄµç·ͼºÍÕýÈ·µÄʵÑé²½Ö裬Ãè³öµÄ·ü°²ÌØÐÔÇúÏßÈçͼ±ûËùʾ£¬´ÓͼÖпÉ֪СµÆÅݵÄ×èÖµËæÐ¡µÆÅÝÁ½¶ËµÄµçѹµÄÔö´ó¶ø_________£¨ÌîÔö´ó¡¢¼õС¡¢ÏÈÔö´óºó¼õС¡¢ÏȼõСºóÔö´ó£©£¬µ±¸øÐ¡µÆÅݼӵçѹ3.2Vʱ£¬´ËʱСµÆÅݵķ¢Èȹ¦ÂÊΪ__________W£¨½á¹ûÈ¡2λÓÐЧÊý×Ö£©¡£

£¨1£©ÀûÓÃÓÍĤ·¨¹À²âÓÍËá·Ö×ӵĴóС£¬ÊµÑéÆ÷²ÄÓУºÅ¨¶ÈΪ0.05£¥£¨Ìå»ý·ÖÊý£©µÄÓÍËá¾Æ¾«ÈÜÒº¡¢×îС¿Ì¶ÈΪ0.1mlµÄÁ¿Í²¡¢Ê¢ÓÐÊÊÁ¿ÇåË®µÄ45¡Á50cm2dzÅÌ¡¢ðò×Ó·Û¡¢ÏðƤͷµÎ¹Ü¡¢²£Á§°å¡¢²Ê±Ê¡¢×ø±êÖ½¡£Ôò£º

¢ÙÏÂÃæ¸ø³öµÄʵÑé²½ÖèÖУ¬Õýȷ˳ÐòΪ£º          ¡£

     A£®½«²£Á§°å·ÅÔÚdzÅÌÉÏ£¬Óòʱʽ«ÓÍËᱡĤµÄÐÎ×´»­ÔÚ²£Á§°åÉÏ­­­­­­­­­­­¡£

      B£®Óõιܽ«Å¨¶ÈΪ0.05£¥ÓÍËá¾Æ¾«ÈÜÒºÒ»µÎÒ»µÎµØµÎÈëÁ¿Í²ÖУ¬¼ÇϵÎÈë1mlÓÍËá¾Æ¾«ÈÜҺʱµÄµÎÊýN

      C£®½«»­ÓÐÓÍËᱡĤÂÖÀªµÄ²£Á§°å·ÅÔÚ×ø±êÖ½ÉÏ£¬ÒÔ×ø±êÖ½Éϱ߳¤Îª1cmµÄÕý·½ÐÎΪµ¥Î»£¬¼ÆËãÂÖÀªÄÚÕý·½ÐεĸöÊý£¬Ëã³öÓÍËᱡĤµÄÃæ»ýS

      D£®½«ðò×Ó·Û¾ùÔȵØÈöÔÚdzÅÌÄÚË®ÃæÉÏ£¬ÓõιÜÎüȡŨ¶ÈΪ0£®05£¥µÄÓÍËá¾Æ¾«ÈÜÒº£¬´ÓµÍ´¦ÏòË®ÃæÖÐÑëÒ»µÎÒ»µÎµØµÎÈ룬ֱµ½ÓÍËᱡĤÓÐ×ã¹»´óµÄÃæ»ýÓÖ²»ÓëÆ÷±Ú½Ó´¥ÎªÖ¹£¬¼ÇϵÎÈëµÄµÎÊýn

¢Ú¸ÃʵÑé²âµÃµÄµ¥¸öÓÍËá·Ö×ÓµÄÖ±¾¶Ô¼Îª         £¨µ¥Î»£ºcm£©¡£

A£®     B£®     C£®     D£®

£¨2£©Ä³Í¬Ñ§×öÃè»æÐ¡µÆÅÝ£¨¶î¶¨µçѹΪ3.8V£¬¶î¶¨µçÁ÷Ϊ0.32A£©µÄ·ü°²ÌØÐÔÇúÏßʵÑ飬ʵÑéÊÒÌṩµÄʵÑéÆ÷²ÄÈçÏ£º£¨±¾ÊµÑéÒªÇóСµÆÅݵĵçѹ´ÓÁ㿪ʼµ÷ÖÁ¶î¶¨µçѹ£©

Ö±Á÷µçÔ´µÄµç¶¯ÊÆÎª4V£¨ÄÚ×è²»¼Æ£©¡¢   µçѹ±íV£¨Á¿³Ì4V£¬ÄÚ×èԼΪ5k¦¸£©¡¢

µçÁ÷±íA1£¨Á¿³Ì0.6A£¬ÄÚ×èԼΪ4¦¸£©¡¢ µçÁ÷±íA2£¨Á¿³Ì3A£¬ÄÚ×èԼΪ1¦¸£©¡¢

»¬¶¯±ä×èÆ÷R1£¨0µ½1000¦¸£¬0.5A£©¡¢    »¬¶¯±ä×èÆ÷R2£¨0µ½10¦¸£¬2A£©¡¢

¿ª¹Ø¡¢µ¼ÏßÈô¸É£®

¢ÙÈô¸ÃͬѧÎ󽫵çÁ÷±íºÍµçѹ±í½Ó³ÉÈçͼ¼×ËùʾµÄµç·£¬ÆäËû²¿·ÖÁ¬½ÓÕýÈ·£¬½ÓͨµçÔ´ºó£¬ÒÔÏÂ˵·¨ÕýÈ·µÄÊÇ£º__________

A£®Ð¡µÆÅݽ«·¢¹â       B£®Ð¡µÆÅݼ¸ºõ²»ÁÁ

C£®V±í²»»áÉÕ»µ       D£®A±í½«»áÉÕ»µ

¢ÚÔÚÕýÈ·µÄµç·ÖУ¬µçÁ÷±íÓ¦¸ÃÑ¡_______£¬»¬¶¯±ä×èÆ÷Ó¦ ¸ÃÑ¡________¡£Çë°ÑͼÒÒÖÐµÄÆ÷²Ä¸ù¾ÝʵÑéÒªÇóÁ¬½Ó³ÉʵÑéµç·¡£

¢Û¸Ãͬѧ°´ÕÕÕýÈ·µÄµç·ͼºÍÕýÈ·µÄʵÑé²½Ö裬Ãè³öµÄ·ü°²ÌØÐÔÇúÏßÈçͼ±ûËùʾ£¬´ÓͼÖпÉ֪СµÆÅݵÄ×èÖµËæÐ¡µÆÅÝÁ½¶ËµÄµçѹµÄÔö´ó¶ø_________£¨ÌîÔö´ó¡¢¼õС¡¢ÏÈÔö´óºó¼õС¡¢ÏȼõСºóÔö´ó£©£¬µ±¸øÐ¡µÆÅݼӵçѹ3.2Vʱ£¬´ËʱСµÆÅݵķ¢Èȹ¦ÂÊΪ__________W£¨½á¹ûÈ¡2λÓÐЧÊý×Ö£©¡£

 

£¨1£©ÀûÓÃÓÍĤ·¨¹À²âÓÍËá·Ö×ӵĴóС£¬ÊµÑéÆ÷²ÄÓУºÅ¨¶ÈΪ0.05£¥£¨Ìå»ý·ÖÊý£©µÄÓÍËá¾Æ¾«ÈÜÒº¡¢×îС¿Ì¶ÈΪ0.1mlµÄÁ¿Í²¡¢Ê¢ÓÐÊÊÁ¿ÇåË®µÄ45¡Á50cm2dzÅÌ¡¢ðò×Ó·Û¡¢ÏðƤͷµÎ¹Ü¡¢²£Á§°å¡¢²Ê±Ê¡¢×ø±êÖ½¡£Ôò£º

¢ÙÏÂÃæ¸ø³öµÄʵÑé²½ÖèÖУ¬Õýȷ˳ÐòΪ£º           ¡£

      A£®½«²£Á§°å·ÅÔÚdzÅÌÉÏ£¬Óòʱʽ«ÓÍËᱡĤµÄÐÎ×´»­ÔÚ²£Á§°åÉÏ­­­­­­­­­­­¡£

      B£®Óõιܽ«Å¨¶ÈΪ0.05£¥ÓÍËá¾Æ¾«ÈÜÒºÒ»µÎÒ»µÎµØµÎÈëÁ¿Í²ÖУ¬¼ÇϵÎÈë1mlÓÍËá¾Æ¾«ÈÜҺʱµÄµÎÊýN

      C£®½«»­ÓÐÓÍËᱡĤÂÖÀªµÄ²£Á§°å·ÅÔÚ×ø±êÖ½ÉÏ£¬ÒÔ×ø±êÖ½Éϱ߳¤Îª1cmµÄÕý·½ÐÎΪµ¥Î»£¬¼ÆËãÂÖÀªÄÚÕý·½ÐεĸöÊý£¬Ëã³öÓÍËᱡĤµÄÃæ»ýS

      D£®½«ðò×Ó·Û¾ùÔȵØÈöÔÚdzÅÌÄÚË®ÃæÉÏ£¬ÓõιÜÎüȡŨ¶ÈΪ0£®05£¥µÄÓÍËá¾Æ¾«ÈÜÒº£¬´ÓµÍ´¦ÏòË®ÃæÖÐÑëÒ»µÎÒ»µÎµØµÎÈ룬ֱµ½ÓÍËᱡĤÓÐ×ã¹»´óµÄÃæ»ýÓÖ²»ÓëÆ÷±Ú½Ó´¥ÎªÖ¹£¬¼ÇϵÎÈëµÄµÎÊýn

¢Ú¸ÃʵÑé²âµÃµÄµ¥¸öÓÍËá·Ö×ÓµÄÖ±¾¶Ô¼Îª          £¨µ¥Î»£ºcm£©¡£

A£®      B£®      C£®     D£®

£¨2£©Ä³Í¬Ñ§×öÃè»æÐ¡µÆÅÝ£¨¶î¶¨µçѹΪ3.8V£¬¶î¶¨µçÁ÷Ϊ0.32A£©µÄ·ü°²ÌØÐÔÇúÏßʵÑ飬ʵÑéÊÒÌṩµÄʵÑéÆ÷²ÄÈçÏ£º£¨±¾ÊµÑéÒªÇóСµÆÅݵĵçѹ´ÓÁ㿪ʼµ÷ÖÁ¶î¶¨µçѹ£©

Ö±Á÷µçÔ´µÄµç¶¯ÊÆÎª4V£¨ÄÚ×è²»¼Æ£©¡¢   µçѹ±íV£¨Á¿³Ì4V£¬ÄÚ×èԼΪ5k¦¸£©¡¢

µçÁ÷±íA1£¨Á¿³Ì0.6A£¬ÄÚ×èԼΪ4¦¸£©¡¢  µçÁ÷±íA2£¨Á¿³Ì3A£¬ÄÚ×èԼΪ1¦¸£©¡¢

»¬¶¯±ä×èÆ÷R1£¨0µ½1000¦¸£¬0.5A£©¡¢    »¬¶¯±ä×èÆ÷R2£¨0µ½10¦¸£¬2A£©¡¢

¿ª¹Ø¡¢µ¼ÏßÈô¸É£®

¢ÙÈô¸ÃͬѧÎ󽫵çÁ÷±íºÍµçѹ±í½Ó³ÉÈçͼ¼×ËùʾµÄµç·£¬ÆäËû²¿·ÖÁ¬½ÓÕýÈ·£¬½ÓͨµçÔ´ºó£¬ÒÔÏÂ˵·¨ÕýÈ·µÄÊÇ£º__________

A£®Ð¡µÆÅݽ«·¢¹â        B£®Ð¡µÆÅݼ¸ºõ²»ÁÁ

C£®V±í²»»áÉÕ»µ        D£®A±í½«»áÉÕ»µ

¢ÚÔÚÕýÈ·µÄµç·ÖУ¬µçÁ÷±íÓ¦¸ÃÑ¡_______£¬»¬¶¯±ä×èÆ÷Ó¦ ¸ÃÑ¡________¡£Çë°ÑͼÒÒÖÐµÄÆ÷²Ä¸ù¾ÝʵÑéÒªÇóÁ¬½Ó³ÉʵÑéµç·¡£

¢Û¸Ãͬѧ°´ÕÕÕýÈ·µÄµç·ͼºÍÕýÈ·µÄʵÑé²½Ö裬Ãè³öµÄ·ü°²ÌØÐÔÇúÏßÈçͼ±ûËùʾ£¬´ÓͼÖпÉ֪СµÆÅݵÄ×èÖµËæÐ¡µÆÅÝÁ½¶ËµÄµçѹµÄÔö´ó¶ø_________£¨ÌîÔö´ó¡¢¼õС¡¢ÏÈÔö´óºó¼õС¡¢ÏȼõСºóÔö´ó£©£¬µ±¸øÐ¡µÆÅݼӵçѹ3.2Vʱ£¬´ËʱСµÆÅݵķ¢Èȹ¦ÂÊΪ__________W£¨½á¹ûÈ¡2λÓÐЧÊý×Ö£©¡£

 

Î¥·¨ºÍ²»Á¼ÐÅÏ¢¾Ù±¨µç»°£º027-86699610 ¾Ù±¨ÓÊÏ䣺58377363@163.com

¾«Ó¢¼Ò½ÌÍø