ÌâÄ¿ÄÚÈÝ

(9·Ö) º¼ÖÝÊÐÃñÎâ¾ÕƼͽÊÖÓ¾ÈÐ¡æ¤æ¤£¬±»ÓþΪ¡°×îÃÀÂèÂ衱¡£ Éèæ¤æ¤µÄÖÊÁ¿m =10kg£¬´ÓÀëµØh1 =21.5 m¸ßµÄÑǫ̂µôÏ£¬ÔÚæ¤æ¤¿ªÊ¼µôÏÂʱ£¬Îâ¾ÕƼÁ¢¿Ì±¼Åܵ½´ïæ¤æ¤µÄÕýÏ·½£¬Õ¾Á¢×ÅÕÅ¿ªË«±ÛÔÚ¾àµØÃæ¸ß¶ÈΪh2 =1.5m´¦½Óµ½æ¤æ¤£¬»º³åµ½µØÃæÊ±ËÙ¶ÈÇ¡ºÃΪÁã¡£¿ÕÆø×èÁ¦²»¼Æ£¬È¡g =10m/s2¡£Çó£º

£¨1£©æ¤æ¤ÔÚ±»½Óµ½Ç°ÏÂÂäµÄʱ¼ät1 £»

£¨2£©ÔÚ»º³å¹ý³ÌÖÐÎâ¾ÕƼ¶Ôæ¤æ¤×öµÄ¹¦WºÍÎâ¾ÕƼ¶Ôæ¤æ¤µÄƽ¾ù×÷ÓÃÁ¦FµÄ´óС¡£

 

¡¾´ð°¸¡¿

£¨1£©      £¨2£©     

¡¾½âÎö¡¿

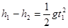
ÊÔÌâ·ÖÎö£º(1)æ¤æ¤×ÔÓÉÏÂÂä¹ý³Ì£¬ÓÉÔ˶¯Ñ§¹«Ê½µÃ£º

 

ÇóµÃ£º     £¨3·Ö)

£¨2£©´ÓÑǫ̂µôϵ½µØÃ棬¶Ôæ¤æ¤Óɶ¯Äܶ¨ÀíµÃ

ÇóµÃ£º      £¨4·Ö£©

ÉèÎâ¾ÕƼ¶Ôæ¤æ¤µÄƽ¾ù×÷ÓÃÁ¦´óСΪF

ÓÉ

ÇóµÃ£º        (2·Ö)

¿¼µã£º±¾Ì⿼²é×ÔÓÉÂäÌåÔ˶¯¼°Óö¯Äܶ¨Àí½â¾öÔ˶¯Ñ§ÎÊÌâ¡£

 

Á·Ï°²áϵÁдð°¸
Ïà¹ØÌâÄ¿

Î¥·¨ºÍ²»Á¼ÐÅÏ¢¾Ù±¨µç»°£º027-86699610 ¾Ù±¨ÓÊÏ䣺58377363@163.com

¾«Ó¢¼Ò½ÌÍø