题目内容
如图所示,A、B两物体相距 s=7m,物体A以vA ="4" m/s 的速度向右匀速运动,而物体B此时的速度vB =10m/s,只在摩擦力作用下向右做匀减速运动,加速度大小为2m/s2,那么物体A追上物体B所用的时间为 ( )![]()
A. 7 s
B.8s
C. 9 s
D. 10 s
B
解析试题分析:
有题意可得:
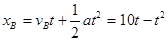
物体A做匀速直线运动,位移为:![]()
物体B做匀减速直线运动,位移为![]()
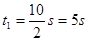
当物体B的速度为零时时间为
,根据公式
可得,
,
在
内,A的位移是20m,B的位移是25m,所以两者在前5s内没有相遇,5s后,物体B静止不动,故物体A追上物体B的总时间为:
,B正确
考点:本题是追击相遇问题,
点评:特别要注意物体B做匀减速运动,要分清是减速过程追上还是静止后被追上;第二种情况下的位移用位移时间公式求解时要注意时间是减速的时间,而不是总时间.
练习册系列答案
相关题目
| A、A物的向心加速度较大 | B、B物所受摩擦力大小一定为μmg | C、两物所受摩擦力都相等,且都不做功 | D、当圆台转速增加时,B比A先发生滑动 |
如图所示,A和B两物块的接触面是水平的,A与B保持相对静止一起沿固定斜面匀速下滑,在下滑过程中B的受力个数为( )
| A.3个 | B.4个 |
| C.5个 | D.6个 |