ÌâÄ¿ÄÚÈÝ
£¨1£©ÔÚ¡°²â¶¨½ðÊôµÄµç×èÂÊ¡±ÊµÑéÖУ¬ÓÐÏÂÁÐËÄÖֵ緿ɹ©Ñ¡Ôñ£¬ÎªÊ¹²âÁ¿½á¹ûÎó²î½ÏС£¬ÔòӦѡÔñµÄµç·ÊÇ£º______£¨2£©ÈôÒÑÖª±»²âµç×èË¿³¤¶ÈΪl=0.5m£¬ÓÃÂÝÐý²â΢Æ÷²âÁ¿ÆäÖ±¾¶£¬²âÁ¿½á¹ûΪͼ¼×Ëùʾ£¬Ôò¸Ã½ðÊôË¿µÄÖ±¾¶ÎªD=_______£¬½ðÊôË¿µç×èÂʵıí´ïʽΪ¦Ñ=______£®
£¨3£©ÀûÓòâµÃµÄʵÑéÊý¾ÝÔÚU-I×ø±êϵÖÐÃè³öµÄµãÈçͼÒÒËùʾ£¬ÇëÄãÔÚ×ø±êϵÖл³öµç×èË¿µÄU-IͼÏߣ®
£¨4£©ÀûÓÃͼÏ߿ɵõç×èË¿µÄµç×èÂÊΪ¦Ñ=______£¬¸ù¾ÝϱíÐÅÏ¢¿ÉÅжÏÖÆÔì¸Ã½ðÊôË¿µÄ²ÄÁÏΪ______£®
| ²Ä ÁÏ | ÂÁ | Ìú | ÃÌͺϽð | Äø¸õºÏ½ð |
| ¦Ñ/¦¸?m | 2.9×10-8 | 1.0×10-7 | 4.4×10-7 | 1.0×10-6 |
¡¾´ð°¸¡¿·ÖÎö£ºµãÆÀ£º1¡¢»á¸ù¾Ýµçѹ±í¡¢µçÁ÷±í¼°±»²âµç×èµÄ×èÖµ¹ØÏµ£¬È·¶¨µçÁ÷±íÊÇÄÚ½Ó»¹ÊÇÍâ½Ó£®
2¡¢¶ÔÓÚ³¤¶ÈµÄ²âÁ¿×¢Òâ¸ßÖÐËùÒªÇóµÄÂÝÐý²â΢Æ÷µÄʹÓ÷½·¨£¬¶ÁÊýʱÊǹ̶¨¿Ì¶ÈµÄÖµÓë¿É¶¯¿Ì¶ÈµÄÖµµÃºÍ£®»áÓõç×趨ÂÉÀ´Çó½âµ¼Ïߵĵç×èÂÊ£»
3¡¢Á¬½Ó¸÷²âÁ¿Êý¾Ýʱʱ£¬×¢ÒâÈþ¡Á¿¶àµÄµãÂäÔÚÖ±ÏßÉÏ£¬¸ö±ðµÄµãÒª¾ùÔÈ·Ö²¼ÔÚÖ±ÏßµÄÁ½²à£»
4¡¢ÀûÓÃͼÏ߿ɵõç×èË¿µÄµç×èÂÊΪ¦Ñ
½â´ð£º½â
£º£¨1£©ÔÚ¸ÃʵÑéÖеç×èË¿µÄµç×èÖµ¼õ½ÏС£¬ËùÒÔÒªÓõçÁ÷±íÍâ½Ó·¨£®ÕýÈ·µÄʵÑéµç·ͼÊÇD£®¹ÊÑ¡£ºD£»
£¨2£©ÂÝÐý²â΢Æ÷µÄ¶ÁÊý·½·¨ÊÇ£¬¶ÁÊýʱÏȶÁ¹Ì¶¨¿Ì¶ÈµÄÖµ£¬È»ºó¶Á³ö¿É¶¯¿Ì¶ÈµÄÖµ£¬×îºóÇóºÍ£®ËùÒÔD=0+30.0×0.01=0.300mm£¬
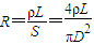
ÓÉÅ·Ä·¶¨ÂÉ£º
£¬Óɵç×趨ÂÉ£º
£¬ËùÒÔµç×èË¿µÄµç×èÂÊ£º
£¨3£©Á¬½Ó¸÷²âÁ¿Êý¾Ýʱʱ£¬×¢ÒâÈþ¡Á¿¶àµÄµãÂäÔÚÖ±ÏßÉÏ£¬¸ö±ðµÄµãÒª¾ùÔÈ·Ö²¼ÔÚÖ±ÏßµÄÁ½²à£»Á¬ÏßÈçͼ£º
£¨4£©ÔÚU-IͼÏóÖУ¬Ð±Âʱíʾµç×èÖµ£¬´ÓÖ±ÏßÉÏѡȡ1µã£¬È磨0.4£¬1.22£©´úÈ빫ʽ£º
ÇóµÃ£º¦Ñ=4.3×10-7¦¸m£º
Óë±í¸ñÖеÄÊý¾Ý°ë¾¶¿ÉÖª£¬ÖÆÔì¸Ã½ðÊôË¿µÄ²ÄÁÏΪÃÌͺϽð£®
¹Ê´ð°¸Îª£º£¨1£©D
£¨2 £© 0.300mm£¬
£¨3£©ÈçÓÒͼ
£¨4£©4.33×10-7¦¸?m ÃÌͺϽð
µãÆÀ£º¸ÃÌ⿼²éµçѧʵÑéÖеöʵÑé£¬Òª×¢ÖØ¶ÔʵÑéÔÀíµÄÀí½â£¬Òª½áºÏʵÑéµÄÔÀí½âÌ⣮
2¡¢¶ÔÓÚ³¤¶ÈµÄ²âÁ¿×¢Òâ¸ßÖÐËùÒªÇóµÄÂÝÐý²â΢Æ÷µÄʹÓ÷½·¨£¬¶ÁÊýʱÊǹ̶¨¿Ì¶ÈµÄÖµÓë¿É¶¯¿Ì¶ÈµÄÖµµÃºÍ£®»áÓõç×趨ÂÉÀ´Çó½âµ¼Ïߵĵç×èÂÊ£»
3¡¢Á¬½Ó¸÷²âÁ¿Êý¾Ýʱʱ£¬×¢ÒâÈþ¡Á¿¶àµÄµãÂäÔÚÖ±ÏßÉÏ£¬¸ö±ðµÄµãÒª¾ùÔÈ·Ö²¼ÔÚÖ±ÏßµÄÁ½²à£»
4¡¢ÀûÓÃͼÏ߿ɵõç×èË¿µÄµç×èÂÊΪ¦Ñ
½â´ð£º½â
£¨2£©ÂÝÐý²â΢Æ÷µÄ¶ÁÊý·½·¨ÊÇ£¬¶ÁÊýʱÏȶÁ¹Ì¶¨¿Ì¶ÈµÄÖµ£¬È»ºó¶Á³ö¿É¶¯¿Ì¶ÈµÄÖµ£¬×îºóÇóºÍ£®ËùÒÔD=0+30.0×0.01=0.300mm£¬
ÓÉÅ·Ä·¶¨ÂÉ£º
£¨3£©Á¬½Ó¸÷²âÁ¿Êý¾Ýʱʱ£¬×¢ÒâÈþ¡Á¿¶àµÄµãÂäÔÚÖ±ÏßÉÏ£¬¸ö±ðµÄµãÒª¾ùÔÈ·Ö²¼ÔÚÖ±ÏßµÄÁ½²à£»Á¬ÏßÈçͼ£º
£¨4£©ÔÚU-IͼÏóÖУ¬Ð±Âʱíʾµç×èÖµ£¬´ÓÖ±ÏßÉÏѡȡ1µã£¬È磨0.4£¬1.22£©´úÈ빫ʽ£º
¹Ê´ð°¸Îª£º£¨1£©D
£¨2 £© 0.300mm£¬
£¨3£©ÈçÓÒͼ
£¨4£©4.33×10-7¦¸?m ÃÌͺϽð
µãÆÀ£º¸ÃÌ⿼²éµçѧʵÑéÖеöʵÑé£¬Òª×¢ÖØ¶ÔʵÑéÔÀíµÄÀí½â£¬Òª½áºÏʵÑéµÄÔÀí½âÌ⣮
Á·Ï°²áϵÁдð°¸
Ïà¹ØÌâÄ¿