题目内容
某物理兴趣小组要精确测量一只电流表G (量程为1mA、内阻约为100Ω) 的内阻.实验室中可供选择的器材有:电流表A1:量程为3mA 内阻约为200Ω;
电流表A2:量程为0.6A,内阻约为0.1Ω;
定值电阻R1:阻值为10Ω;
定值电阻R2:阻值为60Ω;
滑动变阻器R3:最大电阻20Ω,额定电流1.5A;
直流电源:电动势1.5V,内阻0.5Ω;
开关,导线若干.
(1)为了精确测量电流表G的内阻,你认为该小组同学应选择的电流表为______、定值电阻为______.(填写器材的符号)
(2)在方框中画出你设计的实验电路图.
(3)按照你设计的电路进行实验,测得电流表A的示数为I1,电流表G的示数为I2,则电流表G的内阻的表达式为rg=______.
【答案】分析:(1)根据待测电流表的量程选择电流表,由欧姆定律求出电路最大电流时电路的最小电阻,根据该电阻选择定值电阻.
(2)没有电压表,可以把待测电流表与定值电阻并联,然后由电流表测出并联电流,然后由并联电路特点及欧姆定律求出待测电流表内阻;为了多次测量,可以使用滑动变阻器的分压接法;据此设计实验电路.
(3)由并联电路特点及欧姆定律求出电流表G的内阻.
解答:
解:(1)待测电流表G量程是1mA,因此可以选电流表A1:量程为3mA,内阻约为200Ω;当通过电流表A1的电流等于其量程3mA时,
电路最小电阻约为R=
=
=500Ω,
则定值电阻最小应为R定=R-RA1-RG=500Ω-200Ω-100Ω=200Ω,
为保证电路安全,定值电阻阻值应大一点,定值电阻应选R2:阻值为60Ω;
(2)待测电流表与定值电阻并联,然后由电流表测出并联电流,滑动变阻器采用分压接法,电路图如图所示.
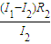
(3)电流表A的示数为I1,电流表G的示数为I2,通过定值电阻的电流为I=I1-I2,电流表G两端的电压U=IR2,
待测电流表内阻rg=
=
;
故答案为:(1)A1;R2;(2)电路图如图所示;(3)=
.
点评:本题考查了实验器材的选取、实验电路的设计、求电阻等问题;选择实验器材时,首先要保证电路安全,在保证安全的情况下,为使读数准确,电表量程及电阻阻值应选小的.实验电路的设计是本题的难点,没有电压表,利用并联电路特点求出待测电流表两端电压是常用的方法.
(2)没有电压表,可以把待测电流表与定值电阻并联,然后由电流表测出并联电流,然后由并联电路特点及欧姆定律求出待测电流表内阻;为了多次测量,可以使用滑动变阻器的分压接法;据此设计实验电路.
(3)由并联电路特点及欧姆定律求出电流表G的内阻.
解答:
电路最小电阻约为R=
则定值电阻最小应为R定=R-RA1-RG=500Ω-200Ω-100Ω=200Ω,
为保证电路安全,定值电阻阻值应大一点,定值电阻应选R2:阻值为60Ω;
(2)待测电流表与定值电阻并联,然后由电流表测出并联电流,滑动变阻器采用分压接法,电路图如图所示.
(3)电流表A的示数为I1,电流表G的示数为I2,通过定值电阻的电流为I=I1-I2,电流表G两端的电压U=IR2,
待测电流表内阻rg=
故答案为:(1)A1;R2;(2)电路图如图所示;(3)=
点评:本题考查了实验器材的选取、实验电路的设计、求电阻等问题;选择实验器材时,首先要保证电路安全,在保证安全的情况下,为使读数准确,电表量程及电阻阻值应选小的.实验电路的设计是本题的难点,没有电压表,利用并联电路特点求出待测电流表两端电压是常用的方法.
练习册系列答案
相关题目