题目内容

如图枪管AB对准小球C,A,B,C在同一水平面上,枪管和小球距地面的高度为45m.已知BC=100m,当子弹射出枪口时,C球开始自由下落,若子弹射出枪口时的速度=50m/s,子弹恰好能在C下落20m时击中C.现其他条件不变,只改变子弹射出枪口时的速度,则(不计空气阻力,取g=10m/)

[  ]

A.=60m/s时,子弹能击中小球

B.=40m/s时,子弹能击中小球

C.=30m/s时,子弹能击中小球

D.为任意值,子弹都能击中小球

答案:AB
解析:

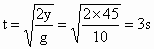
得子弹做平抛运动的飞行时间为

要使子弹击中C球,应该满足,即


练习册系列答案
相关题目

违法和不良信息举报电话:027-86699610 举报邮箱:58377363@163.com

精英家教网