题目内容
如图所示,质量为m的木块从A 点水平抛出,抛出点离地面高度为l,不计空气阻力.在无风情况下落地点B 到抛出点的水平距离为S;当有恒定的水平风力F时,仍以原来初速度抛出,落地点C到抛出点的水平距离为3s/4.试求:(1)无风情况下木块落地时的速度;
(2)水平风力F的大小.
【答案】分析:(1)根据平抛运动在水平方向上做匀速直线运动,在竖直方向上做自由落体运动分别求出落地时的水平初速度和竖直分速度,从而根据平行四边形定则求出无风情况下木块落地时的速度;
(2)有风力后,在水平方向上做匀减速直线运动,结合牛顿第二定律和运动学公式求出风力的大小.
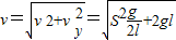
解答:解:(1)在竖直方向上有:l=
,水平方向上有:S=vt
解得
木块落地的竖直速度为
木块落地时的速度大小为
v与水平方向间的夹角为θ,tan
(2)水平方向有
…①,
另由位移关系可得到
…②,
联立①、②,消去vx,代入v
求得
答:(1)无风情况下木块落地时的速度为
,tan
(2)水平风力F的大小
.
点评:解决本题的关键理清物体在水平方向和竖直方向上的运动规律,结合运动学公式进行求解.
(2)有风力后,在水平方向上做匀减速直线运动,结合牛顿第二定律和运动学公式求出风力的大小.
解答:解:(1)在竖直方向上有:l=
解得
木块落地的竖直速度为
木块落地时的速度大小为
v与水平方向间的夹角为θ,tan
(2)水平方向有
另由位移关系可得到
联立①、②,消去vx,代入v
求得
答:(1)无风情况下木块落地时的速度为
(2)水平风力F的大小
点评:解决本题的关键理清物体在水平方向和竖直方向上的运动规律,结合运动学公式进行求解.
练习册系列答案
相关题目
| A、地面对楔形物块的支持力为(M+m)g | B、地面对楔形物块的摩擦力为零 | C、楔形物块对小物块摩擦力可能为零 | D、小物块一定受到四个力作用 |