搜索
题目内容
有一个敞口的玻璃瓶,当瓶内空气温度由27℃升高到127℃时,瓶内剩余的空气是原来的几分之几?
试题答案
相关练习册答案
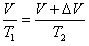
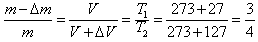
解:以27℃时瓶内的空气为研究对象,因为瓶口敞开,故瓶内空气压强恒等于外界大气压,假设温度升高时,瓶内逸出的空气进入另一个与瓶子相通的容器内,气体状态变化如图所示
根据盖-吕萨克定律有
则
练习册系列答案
双测AB卷系列答案
新思维成才典对典系列答案
各地初中期末汇编系列答案
单元双测全优测评卷系列答案
师大测评卷期末点津系列答案
课堂同步提优系列答案
习题化知识清单系列答案
头名卷系列答案
高分装备期末备考卷系列答案
重点中学与你有约系列答案
相关题目
关 闭
试题分类
高中
数学
英语
物理
化学
生物
地理
初中
数学
英语
物理
化学
生物
地理
小学
数学
英语
其他
阅读理解答案
已回答习题
未回答习题
题目汇总
试卷汇总
练习册解析答案