ÌâÄ¿ÄÚÈÝ

£¨12·Ö£©ÈçͼËùʾ£¬¹â»¬Ë®Æ½µØÃæÉÏÍ£×ÅÒ»Á¾Æ½°å³µ£¬ÆäÖÊÁ¿ÎªM£¨ÇÒM=3m£©£¬³¤ÎªL£¬³µÓÒ¶Ë£¨Aµã£©ÓÐÒ»¿é¾²Ö¹µÄÖÊÁ¿ÎªmµÄС½ðÊô¿é¡£½ðÊô¿éÓë³µ¼äÓÐĦ²Á£¬ÒÔÖеãCΪ½ç£¬AC¶ÎÓëCB¶ÎĦ²ÁÒòÊý²»Í¬¡£ÏÖ¸ø³µÊ©¼ÓÒ»¸öÏòÓÒµÄˮƽºãÁ¦£¬Ê¹³µÏòÓÒÔ˶¯£¬Í¬Ê±½ðÊô¿éÔÚ³µÉÏ¿ªÊ¼»¬¶¯£¬µ±½ðÊô¿é»¬µ½ÖеãCʱ£¬Á¢¼´³·È¥Õâ¸öÁ¦¡£ÒÑÖª³·È¥Á¦µÄ˲¼ä£¬½ðÊô¿éµÄËÙ¶ÈΪv0£¬³µµÄËÙ¶ÈΪ2v0£¬×îºó½ðÊô¿éǡͣÔÚ³µµÄ×ó¶Ë£¨Bµã£©¡£Èç¹û½ðÊô¿éÓë³µµÄAC¶Î¼äµÄ¶¯Ä¦²ÁÒòÊýΪ£¬ÓëCB¶Î¼äµÄ¶¯Ä¦²ÁÒòÊýΪ¡£

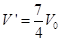
£¨1£©Èô£¬m=1kg£¬ÇóˮƽºãÁ¦FµÄ´óС£»

£¨2£©ÇóÓëµÄ±ÈÖµ¡£

 

¡¾´ð°¸¡¿

£¨1£©21N   (2)  4£º3

¡¾½âÎö¡¿

ÊÔÌâ·ÖÎö£º£¨1£©ÓÉÌâÒ⣬С³µÏòÓÒÔȼÓËÙ£¬Îï¿éÊÜĦ²ÁÁ¦ÏòÓÒ£¬Ò²ÊÇÔȼÓËÙ

Îï¿éÔڶ묶¯¹ý³ÌÖУ®¶Ô 

¶Ô       

ÌâÄ¿¸æËßÎÒÃÇmµ½´ïMÖеãʱ  

С³µ  

               

 ÁªÁ¢µÃ

´úÈëÊý¾Ý

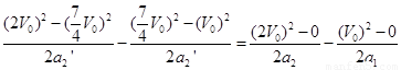
£¨2£©ÔÚBC¶ËµÄÔ˶¯£¬¶ÔС³µÔȼõËÙ

¶ÔСÎï¿éÔȼÓËÙ

¼ÙÉè¶þÕß×îÖյĹ²Í¬ËÙ¶ÈÊÇÔòÓÐ

Ôò

CB½×¶ÎС³µÔȼõËÙµÄÎ»ÒÆÓëľ¿éÔȼÓËÙÎ»ÒÆÖ®²îµÈÓÚµÚÒ»¶Î¼´AB¶Î¶þÕßÎ»ÒÆÖ®²î

ÁªÁ¢ÒÔÉϽâµÃµÃ    

¿¼µã£ºÏà¶ÔÔ˶¯   Ħ²ÁÁ¦

 

Á·Ï°²áϵÁдð°¸
Ïà¹ØÌâÄ¿

Î¥·¨ºÍ²»Á¼ÐÅÏ¢¾Ù±¨µç»°£º027-86699610 ¾Ù±¨ÓÊÏ䣺58377363@163.com

¾«Ó¢¼Ò½ÌÍø