题目内容
已知电流表的内阻Rg=120Ω,满偏电流Ig=3mA,要把它改装成量程是6V的电压表,应串联多大的电阻?要把它改装成量程是3A的电流表,应并联多大的电阻?
【答案】分析:电流表改装成电压表要串联电阻分压,串联的阻值为R=
-Rg,U为改装后的量程.改装成电流表要并联电阻分流,并联电阻阻值为R=
.
解答:解:改装成电压表要串联电阻分压串阻值为:
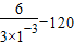
R=
-Rg=
=1880Ω
改装成电流表要并联电阻分流,并联电阻阻值为:
R=
=
≈0.12Ω
答:要把它改装成量程是6V的电压表,应串联1880Ω的电阻;要把它改装成量程是3A的电流表,应并联0.12Ω的电阻.
点评:考查的电压表的改装原理,明确串联电阻的分压作用,会求串联电阻阻值;考查的电流表的改装原理,明确分流与电阻成反比,电阻大,分流小,反之电阻小则分流大.
解答:解:改装成电压表要串联电阻分压串阻值为:
R=
改装成电流表要并联电阻分流,并联电阻阻值为:
R=
答:要把它改装成量程是6V的电压表,应串联1880Ω的电阻;要把它改装成量程是3A的电流表,应并联0.12Ω的电阻.
点评:考查的电压表的改装原理,明确串联电阻的分压作用,会求串联电阻阻值;考查的电流表的改装原理,明确分流与电阻成反比,电阻大,分流小,反之电阻小则分流大.
练习册系列答案
相关题目