题目内容

质量为2 kg的物体在水平推力F的作用下沿水平面做直线运动,一段时间后撤去F,其运动的v-t图象如图所示.g取10 m/s2,求:

(1)物体与水平面间的动摩擦因数μ;

(2)水平推力F的大小;

(3)0~10 s内物体运动位移的大小

 

【答案】

(1)0.2;(2)6 N;(3)46 m

【解析】

试题分析:(1)设物体做匀减速直线运动的时间为Δt2、初速度为v20、末速度为v2t、加速度为a2

则a2=-2 m/s2      ① (2分)

设物体所受的摩擦力为Ff,根据牛顿第二定律,有

Ff=ma2           ②(2分)

Ff=-μmg         ③(2分)

联立②③得μ==0.2       ④(2分)

(2)设物体做匀加速直线运动的时间为Δt1、初速度为v10、末速度为v1t、加速度为a1,则

a1=1 m/s2                  ⑤(2分)

根据牛顿第二定律,有F-Ff=ma1     ⑥(2分)

联立③⑥得F=μmg+ma1=6 N.                    (2分)

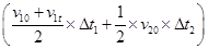
(3)解法一:由匀变速直线运动位移公式,得

x=x1+x2=v10Δt1a1Δt+v20Δt2a2Δt=46 m.   (4分)

解法二:根据v-t图象围成的面积,得

x==46 m.  

考点:牛顿第二定律,匀变速直线运动速度与时间的关系;图象

 

练习册系列答案
相关题目

违法和不良信息举报电话:027-86699610 举报邮箱:58377363@163.com

精英家教网